Wie die Heizkosten einer Pelletsanlage abgerechnet werden
In jedem Jahr stehen für Gebäudeeigentümer und Verwalter die jährlichen Heizkostenabrechnungen an. Mit dem Excel-basierten DEPI-Berechnungstool „Heizkostenabrechnung für Pelletheizungen“ können Gebäudeeigentümer die Wärme Abrechnung für Immobilien mit Pelletfeuerung ganz einfach selbst durchführen. Das Berechnungstool richtet sich speziell an Eigentümer kleiner Wohngebäude mit wenigen Wohnungen, die Heizkostenabrechnungen nicht von Abrechnungsdienstleistern erstellen lassen. Aber, wie immer, ist jede Software nur so gut und genau wie die Eingaben des Nutzers.
Grundlage und Software-Tool
Gemäß der Verordnung über die verbrauchsabhängige Abrechnung der Heiz- und Warmwasserkosten (kurz: HeizkostenV) müssen Gebäudeeigentümer und Verwalter jährlich Heizkostenabrechnungen für Wohnungsnutzer erstellen. Auch bei mit Pellets beheizten Wohnungen gilt dabei:
Der Abrechnung bei Mietwohnungen/Eigentumswohnungen muss der tatsächliche Brennstoffverbrauch, also der Pelletverbrauch und die dafür aufgewendeten Kosten im Abrechnungszeitraum, zugrunde gelegt werden. Zu Beginn und zum Ende des Abrechnungszeitraums muss hierzu die tatsächliche Pelletmenge im Lager in Tonnen und ihr Wert so genau wie möglich ermittelt werden.
Die Angabe der gesamten Liefermenge im Berechnungszeitraum ist nicht ausreichend. Damit Gebäudeeigentümer die Heizkostenabrechnung für Immobilien mit Pelletfeuerung selbst durchführen können, hat das Deutsche Pelletinstitut das Excel-basierte Berechnungstool „Heizkostenabrechnung für Pelletheizungen“ entwickelt. Dabei werden die einzelnen Pelletlieferungen im Abrechnungsjahr und der Anfangs- und Endbestand des Lagers berücksichtigt.
Zu beachten:
- Die Oberfläche einer Schüttung ist gewöhnlich nicht plan. Die durchschnittliche Füllhöhe muss entweder eingeschätzt werden oder die Oberfläche der Pelletschüttung wird eingeebnet, z. B. mit einem Laubrechen.
- Wenn das Lager betreten werden muss, sind Vorsichtsmaßnahmen zu beachten: Heizung und Förderschnecke müssen ausgestellt und das Lager vorher ausreichend belüftet sein. Eine zweite Person muss außerhalb des Lagers in Sicht- oder Sprechverbindung sein.
- Lager > 10 Tonnen dürfen nur nach Messung des CO-Gehalts betreten werden.
So funktioniert das Tool
Ein Vermieter mit seinem Vier-Familienhaus und der Pelletsanlage im Keller will und muss am Ende eines Abrechnungsjahres die angefallenen Heizkosten gerecht aufteilen. Dazu muss er sich keinen eigenen Weg zur Berechnung ausdenken, sondern greift auf die sogenannte Heizkostenverordnung zurück. Damit erhalten alle Beteiligten eine gewisse Transparenz und im Falle von Unstimmigkeiten eine Richtschnur.
Zuerst werden vom Vermieter sämtliche Kosten für die Heizung, also beispielsweise auch Pumpenstrom und Wartungen, zusammengetragen, die in dem Abrechnungszeitraum von höchstens einem Jahr angefallen sind. Diese Kosten ergeben 100 %. Davon werden in der Regel 30 % über die anteilige Wohnfläche umgelegt. Damit ist dann berücksichtigt, dass die 40 m²-Wohnung einen geringeren Anteil an den Kosten verursacht als die Wohnung mit 80 m². Im Extremfall beteiligt sich der Weltenbummler, der nur zweimal im Jahr und dann auch noch im Sommer zu Hause ist, über diesen Schlüssel in jedem Fall an den Kosten, auch wenn er tatsächlich niemals heizt.
Es blieben dann 70 % der Gesamtkosten, die anhand von Zählerablesungen erfolgen. Darüber soll also letztlich berücksichtigt werden, welchen effektiven Anteil jeder Mieter aufgrund seines Heizverhaltens zahlen soll. Ein sparsamer Mieter wird gegenüber dem Energieverschwender auf diese Weise bessergestellt.
Der Füllstand ist das Problem
Am Tage der Verbrauchsablesung in den Wohnungen werden die eben genannten 70 % Kosten verteilt.
Bei einer Anlage mit Erdgas nimmt der Ableser am Ablesetag die Stände der Wärmemengenzähler und liest den Gaszähler ab. Anhand der Differenz zwischen dem letzten und dem aktuellen Ablesetag ergibt sich der Gasverbrauch und damit auch die angefallenen Brennstoffkosten. Eventuelle Preisänderungen werden vom Gasversorger für diesen Zeitraum transparent gemacht und der Vermieter kann die Berechnung entsprechend anpassen.
Bei einer Pelletsanlage ist der Vorratsbehälter üblicherweise vor und nach der Ablesung nicht leer, aber auch nicht komplett gefüllt. Der Füllstand liegt vielmehr immer irgendwo dazwischen. Erschwerend für eine gerechte Abrechnung kommt hinzu, dass der Preis für eingekaufte Pellets im Laufe eines Jahres schwankt.
Wie ermitteln Sie den Füllstand?
Den Füllstand eines Lagers zu ermitteln, wäre am einfachsten, wenn das konkrete Gewicht ermittelt werden könnte. Dazu müssten allerdings sogenannte Wiegezellen unter den Ständern des Lagers montiert sein. Ist dies nicht der Fall, kann man über die Füllhöhe den jeweiligen Füllstand nachweisen. Aber spätestens hier kann es auch kompliziert werden.
Flachbodenlager
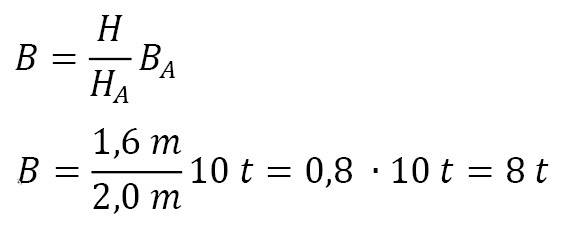
Bei einem Flachbodenlager kann der Lagerbestand an der Füllhöhe abgemessen und mit einer anschließenden, einfachen Berechnung ermittelt werden.
Beispiel für eine Messung/Berechnung:
Bei der Erstbefüllung des Lagers sind 10 t Pellets eingelagert worden. Der Füllstand ergab dabei eine Höhe von 2,0 m.
Während einer Messung der Füllhöhe nach dreimonatigem Einsatz des Pelletkessels wurde eine Füllhöhe von 1,6 m festgestellt. Um wie viel t Pellets handelt es sich noch?
- Bestand nach Erstbefüllung: BA = 10 t
- Füllhöhe nach Erstbefüllung: HA = 2 m
- Füllhöhe bei Ablesung: H = 1,6 m
Pelletbestand bei Ablesung:
Antwort:
Bei einer Füllhöhe von 1,6 m befinden sich noch 8 t Pellets im Behälter. Logischerweise wurden daher 2 t verbraucht.
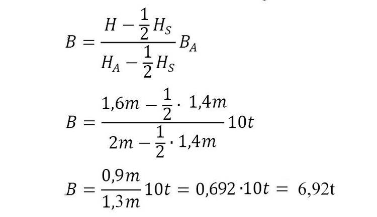
Schrägbodenlager
Für ein Schrägbodenlager lassen sich zwei Formeln unterscheiden. Die eine berücksichtigt einen Füllstand oberhalb der Schräge und die andere unterhalb.
Ein Beispiel verdeutlicht auch hier den Mess- und Rechenweg.
Beispiel mit Füllung über Schräge hinaus:
- Bestand nach Erstbefüllung: BA = 10 t
- Füllhöhe nach Erstbefüllung: HA = 2 m
- Oberkante Schrägboden: HS = 1,4 m
- Füllhöhe bei Ablesung: H = 1,6 m
Pelletbestand bei Ablesung:
Antwort:
Bei einer Füllhöhe von 1,6 m in diesem Behälter mit Schrägbodenlager befinden sich noch 5 t Pellets.
Beispiel mit Füllung im Bereich der Schräge:
- Bestand nach Erstbefüllung: BA = 10 t
- Füllhöhe nach Erstbefüllung: HA = 2 m
- Oberkante Schrägboden: HS = 1,4 m
- Füllhöhe bei Ablesung: H = 1,1 m
Pelletbestand bei Ablesung:
Antwort:
Bei einer Füllhöhe von 1,1 m in diesem Behälter mit Schrägbodenlager befinden sich noch 3,3 t Pellets.
Regelungen auch beim Pelletpreis
Der Wert des Endbestands an Pellets ist nach dem Grundsatz „First in – First out“ anzusetzen.
Wenn der Endbestand geringer als die letzte Liefermenge ist, dann wird der Wert des Endbestands mit dem Pelletpreis der letzten Lieferung berechnet. Wenn der Endbestand die letzte Liefermenge übersteigt, ist die darüber hinausgehende Menge mit dem Preis der Vorlieferung(en) anzusetzen.
In einem Infoblatt erklärt das DEPI die Nutzung des Tools und worauf bei der Heizkostenkostenabrechnung bei Pelletheizungen besonders zu achten ist.
Und was ist mit entsorgten Pellets?
Restmengen an Pellets, die bei einer Lagerreinigung aus dem Lager entfernt werden und im Anschluss an die Reinigung nicht mehr genutzt werden können, müssen entsorgt werden. Sie können im Rahmen der Heizkostenabrechnung berücksichtigt werden, da diese zu den Kosten einer Wartung gehören.
Dieser Beitrag ist zuerst erschienen in: SBZ Monteur 7-2018.

