Flächenheizung und Trittschallschutz im Massivbau
Schallschutz: Entscheidend ist die vertragliche Auslegung
Die DIN 4109 stellt die Berechnungsgrundlagen und liefert Mindestvorgaben zur Schalldämmung. Grundsätzliches Ziel ist der Gesundheitsschutz. Geringere Vorgaben darf es im Massivbau nicht geben, höhere dagegen schon, falls z. B. Komfortanforderungen berücksichtigt werden müssen, die sich aus Marketingunterlagen, Objektbeschreibungen oder Ausschreibungstexten ergeben.
Die Aktualisierung der DIN 4109 im Jahr 2016 hat nach Einschätzung von Rechtsanwälten keinen Einfluss auf die aktuelle Rechtsprechung. Das liegt daran, dass der Bundesgerichtshof (BGH, Urteil vom 14. Juni 2007 – VII ZR 45/06, BGHZ 172, 346) sich bei der Frage nach den Anforderungen zum Schallschutz nicht an den DIN-Normen orientiert, sondern daran, was die Vertragsparteien in Bezug auf den geforderten Schallschutz vereinbart haben.
Existieren solche Vereinbarungen nicht, dann wurde bislang nur allgemein auf die Einhaltung der DIN 4109 verwiesen, ohne klarzustellen, dass es sich hier nur um Mindestanforderungen handelt. Der zu erbringende Schallschutz ist in so einem Fall also durch die Auslegung des Vertrages zu ermitteln. Eine wichtige Rolle spielen dabei auch Ausschreibungstexte. Falls durch die vereinbarte Bauweise höhere Schallschutzwerte zu erreichen sind, dann sind diese entsprechend einzuhalten – die einwandfreie und eine den anerkannten Regeln der Technik entsprechende Bauausführung vorausgesetzt. In hohem Maße gilt das für den Trittschallschutz besonders dann, falls Fußbodenheizungen zum Einsatz kommen, bei denen die Bauhöhe der gesamten Bodenkonstruktion möglichst niedrig sein soll.
Orientierungswerte für das Schalldämmmaß
In einem neueren Urteil von 30. Juli 2020 führt auch das OLG Saarbrücken aus: Wird ein üblicher Qualitäts- und Komfortstandard geschuldet, muss sich das einzuhaltende Schalldämmmaß an dieser Vereinbarung orientieren. Anhaltspunkte können sich aus den Regelwerken der Schallschutzstufen II und III der VDI-Richtlinie 4100 aus dem Jahr 1994 oder aus dem Beiblatt 2 zur DIN 4109 ergeben (Anschluss an BGH, IBR 2007, 473).
Auffallend an den Ausführungen der Richter ist der Verweis auf die VDI 4100 Stand 1994 und nicht auf eine aktuellere Version der Richtlinie. Denn die VDI 4100 ist 2021 neu erschienen, allerdings mit einem gravierenden Unterschied: Das dort angewendete Verfahren bewertet im Gegensatz zur DIN 4109 nicht die Schalldämmung von Bauteilen, sondern den realen Schallschutz in Form der Schallpegeldifferenz von Sender- zu Empfängerraum.
Die Lärmbelästigung durch Nachbarn ist mit 57% der zweithäufigste Grund, wodurch sich Bewohner in ihren Wohnungen gestört fühlen. Bei der gleichen Umfrage des Umweltbundesamtes im Jahr 2020 lag der Wert noch bei 40%. Dennoch steigt der Anteil an Schallschutzmängeln bei Bauabnahmen, wobei es auch um hohe Schadenssummen gehen kann. Dies verdeutlicht, wie wichtig die Einhaltung des baulichen Schallschutzes ist. Doch welches Schallschutzniveau ist gefordert? Welche Einflussgrößen sind bei der Wahl von Dämmstoffen zu beachten?
Die Festlegung des geforderten Trittschallschutzes wird in Deutschland von drei Normen bzw. Vorschriften und Richtlinien geregelt: von der DIN 4109, VDI 4100 und der DEGA Empfehlung 103. Alle enthalten unterschiedliche Anforderungsniveaus und unterschiedliche Anwendungsfälle, etwa für Doppelhaushälften, Reihenhäuser oder Mehrfamilienhäuser. Sie alle können als Zielgröße für den geschuldeten Trittschallschutz L‘n,w (bewerteter Normtrittschallpegel mit Flankenübertragung) herangezogen werden.
Diese hat sich im Markt aber (bisher) nicht durchgesetzt. Denn dieser Wert ist von der Größe des Empfangsraumes abhängig. Somit kann er nicht als reine Bauteileigenschaft berechnet oder gemessen werden und ist damit planerisch schlecht umzusetzen. Gleiche trennende Bauteile liefern jetzt Trittschallwerte, die je nach Einbausituation und Größe des Empfängerraumes um 5 dB nach oben oder nach unten schwanken können. Ebenfalls neu ist die DIN 4109-5 „Schallschutz im Hochbau – Teil 5: Erhöhte Anforderungen“, die seit 2020 das Beiblatt A2 ersetzt hat.
Sämtliche Normen und Richtlinien zusammengenommen liefern verschiedene, mögliche Anforderungsstufen zum Trittschallschutz von Wohnungstrenndecken, die zwischen Auftraggeber und Auftragnehmer vereinbart werden können (Bild A). VDI 4100 Stufe 1 und DEGA Stufe F und E liegen oberhalb der Anforderungen der DIN 4109 und sind deshalb nicht mit aufgeführt. Höhere Werte aus der DIN 4109 zu Decken zwischen Arbeitsräumen (53 dB) oder unter nutzbaren Dachräumen (52 dB) sind eben keine Wohnungstrenndecken. Doppelhaushälften (DHH) und Reihenhäuser (RH) haben generell höhere Anforderungen, weil dort von einem erhöhten Schutzbedürfnis ausgegangen wird. Grob eingeteilt lassen sich folgende Anwendungsfälle ausmachen:
- Einfacher Wohnungsbau (z. B. Sozialwohnungen): DIN 4109-1: 2018-01. Zur rechtlichen Absicherung sollte die Baubeschreibung klar darauf verweisen, dass nur der Mindestschallschutz nach DIN 4109-1 geplant ist.
- Wohnungsbau im Standardbereich: VDI 4100 Anforderungsstufe II oder DIN 4109-5
- Wohnungsbau im Luxusbereich: VDI 4100 Anforderungsstufe III oder Dega Empfehlung 103 Stufe B und A
Analyse des aktuellen Berechnungsverfahren nach DIN 4109
Um den Einfluss der einzelnen, verschiedenen Bauteile auf den geforderten Trittschallschutz einschätzen zu können, muss man sich den Rechenweg genauer ansehen. Der hat sich in der „neuen“ DIN 4109 in einigen Punkten zu den jahrelang gebräuchlichen Verfahren geändert. Insbesondere soll damit klargestellt werden, dass es so etwas wie „eine Dämmung für erhöhten Schallschutz“, was eine in Beratungsgesprächen häufig gestellte Forderung ist, nicht gibt. Dämmung kann zwar einen höheren Beitrag beim Erreichen des Schallschutzzieles leisten. Doch andere Faktoren, wie etwa die Masse der Zwischendecke, die Estrichstärke oder die Flankenübertragung, spielen aber eine mindestens genauso große Rolle.
Zudem wird für die Berechnung nicht mehr das jahrelang gebräuchliche Trittschallverbesserungsmaß genutzt, sondern die dynamische Steifigkeit s´ des Dämmstoffes. s´ ist ein Maß für das Federungsvermögen der Dämmung zum Abdämpfen der Übertragung der Schwingungen des Estrichs an die Rohdecke. Dabei gilt: Je niedriger der Wert, desto höher die Trittschallverbesserung. Allerdings muss die Dämmung weiterhin die nötige Druckstabilität für den Einsatz unterhalb von Estrichen aufweisen, was wiederum die möglichen s´-Werte begrenzt. Die Berechnungsformel für den einzuhaltenden bewerteten Normtrittschallpegel lautet:
L´n,w = bewerteter Normtrittschallpegel (Trittschalldämmmaß) der gesamten FB-Konstruktion
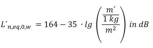
Ln,eq,0,w = äquivalenter bewerteter Normtrittschallpegel (Trittschalldämmmaß) der Massivdecke ohne Deckenauflage
ΔLw,R = Trittschallverbesserungsmaß der Deckenauflage (Estrich oder Boden)
K = Korrekturmaß für Flankenübertragungen
Grundlage der Berechnung ist also das Trittschalldämmmaß, welches durch die Masse der Wohnungstrenndecke erreicht wird.
Beim Trittschallverbesserungsmaß greift folgende Formel:
m´= flächenbezogene Masse der Estrichplatte (60 kg/m2 ≤ m´ ≤ 160 kg/m2)
s´ = dynamische Steifigkeit der Dämmschicht (6 MN/m3 ≤ s´≤ 50 MN/m3)
Diese Formel bezieht den Wert der dynamischen Steifigkeit s´ mit ein. Deutlich wird, dass hier auch das Gewicht des Estrichs eine Rolle spielt. Die etwas höhere Estrichgesamthöhe bei Fußbodenheizungen macht sich dabei, je nach System, mit einer Verbesserung von 1 bis 2 dB bemerkbar. Ungünstige flankierende Bauteile können durch eine erhöhte Schallübertragung die Schalldämmung zwischen Räumen erheblich vermindern. Deshalb wurde der frühere pauschale Aufschlag von 2 dB durch den Wert K ersetzt. Hier spielen die Massen der Decke und der Wände hinein. Für im Bau übliche Flächengewichte für Wand und Decke gilt:
wobei m´s die flächenbezogene Masse der Trenndecke und m´f,m die der flankierenden Bauteile ist.Für m´f,m > m´s gilt: K = 0 dB
Für die normalerweise im Hochbau verwendeten Konstruktionen ergibt sich damit ein Wert der höher ist als 2.
Nachdem mit diesen Werten das Trittschallverbesserungsmaß errechnet wurde, wird bei Trittschalldämmungen zusätzlich pauschal noch ein Sicherheitsbeiwert von 3 dB addiert, um etwaige Unsicherheiten der Berechnung zu kompensieren. Diese Summe aus dem errechneten L´n,w und den dazugerechneten 3 dB muss dann kleiner oder gleich dem geforderten L´n,w sein.
Zwischenfazit: Die Anforderungen an den Schallschutz sind durch die Änderungen von der alten DIN 4109 zur neuen DIN 4109 enorm gestiegen. Sowohl durch die nominelle Verschärfung um 3 dB von 53 auf 50 dB, als auch durch das eine dB durch die Berechnung von K anstelle eines pauschalen Zuschlages für die Flankenübertragung. Und letztlich müssen auch noch 3 dB Sicherheitsbeiwert berücksichtigt werden. Dadurch ergibt sich insgesamt eine Verschärfung von 7 dB. Ob das auch bei den Anforderungen der VDI 4100 und der DEGA so zu berücksichtigen ist, müssen aller Voraussicht nach irgendwann Gerichte beurteilen. Denn die darin enthaltenen Werte wurden vor der Änderung des Rechenweges der DIN 4109 herausgegeben.
Sehr tiefe Frequenzen können problematisch sein
Wie lautet nun die Einschätzung des über diesen Weg errechneten Wertes? Generell gilt, dass alle Schallschutzangaben Einzahlwerte sind. Um den Einzahlwert des Norm-Trittschallpegels L´n,w zu bestimmen, müssen die für die 16 Terzen zwischen den Frequenzen von 100 Hz bis 3150 Hz gemessenen Werte mit einer Bezugskurve abgeglichen werden (Bild B). Dafür ist die Bezugskurve in ganzen dB-Schritten so lange zu verschieben, bis die Summe der positiven Abweichungen geteilt durch die Anzahl der Terzen kleiner oder gleich 2 dB ist, jedoch möglichst nahe 2 dB liegt.
Der Einzahlwert des bewerteten Norm-Trittschallpegels L‘n,w entspricht dem Wert der verschobenen Bezugskurve bei 500 Hz. Das bedeutet, dass zwei Konstruktionen zwar das gleiche Trittschalldämmmaß haben können, sie ihre Schalldämpfung aber in unterschiedlichen Frequenzbereichen liefern. Die gleichen Geräusche können somit trotz gleichem Wert als unterschiedlich störend empfunden werden. Häufig werden besonders tiefe Frequenzen, wie sie etwa durch das Begehen des Estrichs – also Laufgeräusche – hervorgerufen werden, als besonders störend empfunden. Der Frequenzbereich von solchen Gehgeräuschen liegt um die 63 Hz und damit unterhalb der Grenze der Bewertungskurve und wird somit bei der Angabe oder Ermittlung des Einzahlwertes gar nicht erfasst.
Das Problem kann durch Hinzuziehen einer im Jahre 1997 (!) normativ eingeführten Beurteilungskorrekturgröße, die Spektrum-Anpassungswert CI genannt wird, behoben werden. Dieser berücksichtigt als CI,50–2500 vor allen die Trittschalldämmfähigkeit von Decken bei Frequenzen unterhalb von 100 Hz. Klagen wegen dieses „Estrichdröhnens“ wurden schon vor Gericht verhandelt Das OLG München (Endurteil v. 08.08.2017 – 9 U 3652/16 Bau) hat die Klage des Bauherrn abgewiesen, weil die vereinbarte Schallschutzstufe VDI 4100 III eingehalten wurde und der Vertrag keine Zusatzvereinbarungen über die Dämpfung von tieferfrequenten Schallanregungen enthielt. Der Bauherr war natürlich enttäuscht, zumal er trotz eines vermeintlich guten Schallschutzes nach Stufe III immer noch die Trittgeräusche der Nachbarn in seiner sonst stillen Wohnung wahrnahm.
Derartige Probleme lassen sich durch die Beachtung des CI,50-2500 bei der Auswahl der Dämmung weitestgehend vermeiden. Durch Addition von L´n,w und CI,50-2500 ergibt sich ein Anhaltswert für die empfundene Wirkung der Trittschalldämmung. CI,50–2500 ist bei zweischaligen Konstruktionen wie bei schwimmenden Estrichen teilweise auffällig groß und korreliert besser mit den subjektiven Belästigungen als nur der Einzahlwert L´n,w.
Praxisbeispiele zur passenden Materialauswahl
Eine Möglichkeit diesen niederfrequenten Bereich besser in den Griff zu bekommen, liegt in der Wahl des Materials der verwendeten Trittschalldämmung. Die üblicherweise verwendeten Polystyrol Trittschalldämmplatten, egal ob als „normale Dämmung“ oder als Systemplatte für die Fußbodenheizung, sind gerade in dem niederfrequenten Bereich schlechter als Mineralwolledämmungen. Dabei macht es sich nicht in einem besseren s´-Wert bemerkbar, sondern durch den kleineren CI,50-2500 bei gleichem s´. So bietet beispielsweise Uponor mit Klett Silent eine Mineralwolledämmung als Systemplatte an, womit die Schallschutzvoreile mit der einfachen Montage des Klett Systems kombiniert werden.
Praxisbeispiel 1:
Rohrüberdeckung x = 48 mm mit Zementestrich
Heizrohr Uponor Klett Rohr Comfort Pipe PLUS 16 mm
Gesamtaufbauhöhe (Dämmung und Fußbodenheizung) = 94 mm
Bewertete Trittschallverbesserung DLW = 31 dB
Diese Estrichkonstruktion ist bis 5 kN/m2 belastbar.
Praxisbeispiel 2:
Rohrüberdeckung x = 30 mm mit Knauf Fließestrich FE Eco
Heizrohr Uponor Klett Rohr Comfort Pipe PLUS 16 mm
Gesamtaufbauhöhe (Dämmung und Fußbodenheizung) = 76 mm
Bewertete Trittschallverbesserung DLW = 29 dB
Diese verringerte Estrichhöhe ist bis 2 kN/m2 belastbar.
Weitere Möglichkeiten, Mineralwolledämmung und System-Produkte zu kombinieren, sind bei den zusammen mit Knauf geprüften Aufbauten zu finden: Das Klett Twinboard oder Minitec von Uponor lassen sich mit der Knauf TP-GP-12-1 kombinieren. Diese nur 12 mm starke Mineralwolledämmung liefert dabei mit diesen Systemen ein geprüftes Trittschallverbesserungsmaß von 28 dB. Sie ist nicht brennbar und mit dem Blauen Engel (www.blauer-engel.de/uz132) ausgezeichnet. In Summe ergibt sich eine Fußbodenheizung mit nur 49 mm Aufbauhöhe (Minitec-Systemhöhe: 12 mm, Mineralwolledämmung: 12 mm, Rohrüberdeckung mit der Nivelliermassse Knauf N440: 25 mm) bzw. 54 mm mit dem Klett Twinboard und einem 14er Uponor Comfort Pipe PLUS oder MLCP RED Rohr.
Falls ein sehr guter Trittschallschutz erreicht werden soll, ist der Griff zu Systemlösungen wie dem Uponor Classic System in Kombination mit einer Mineralwolledämmung mit einem s´-Wert von 10 MN/m3 empfehlenswert. Bei 67 mm Gesamtestrichstärke können dort Trittschallverbesserungsmaße von 34 dB erreicht werden.
Derartige Praxislösungen sind die richtigen Schritte zu einem höheren Trittschallschutz und damit zu mehr Lebensqualität und womöglich auch zu weniger Streitigkeiten, die vor Gericht ausgetragen werden.
Dieser Artikel von Sven Petersen erschien zuerst in der SBZ- Ausgabe 07/2023. Sven Petersen ist Referent Segment Commercial, Marketing DACH, bei der Uponor GmbH.


