Mischwasser berechnen: Methoden, Formeln & Praxisbeispiele

Der Bezug zum Anlagenmechaniker lässt sich leicht herstellen. In jedem Trinkwassersystem wird kaltes und warmes Wasser gemischt und auch Heizungsanlagen funktionieren erst richtig effizient, wenn die Mischtemperatur berechnet wird. Nachhaltige Versorgung mit regenerativen Energien ist ebenso davon abhängig, dass man Wasserströme unterschiedlicher Temperaturen zusammengießt. Sogar in die DIN 1988-300 ist eine Anwendung der Mischwasserberechnung eingeflossen, nachzulesen beim Verfahren zur Auslegung von Zirkulationsleitungen.
Aber wie lässt sich Mischwasser berechnen bzw. die richtige Mischwassertemperatur berechnen? Wir zeigen Ihnen anhand mehrerer Praxisbeispiele, wie Sie Schritt für Schritt zur richtigen Temperatur gelangen.
Mischtemperatur berechnen: 3 Praxisbeispiele
Um konkret zu beschreiben, an welchen Stellen der Anlagenmechaniker von einer Temperaturmischung betroffen ist, zeigen wir drei Beispiele auf.
I: Trinkwasser für Warmduscher
In einem Einfamilienhaus wird der bestehende Speicher von 150 Litern Volumeninhalt aus Hygienegründen ständig auf 60°C gehalten. Geduscht wird aber mit einer Wassertemperatur von nur 40°C. Wie viel Wasser von 40°C kann entnommen werden, wenn man die Nachheizung mal komplett ausklammert? Das kalte Wasser des Versorgers soll mit 10°C an der Duscharmatur zugemischt werden. Diese tiefe Zulauftemperatur wird zwar nur im Winter erreicht, stellt aber den ungünstigsten Fall dar.
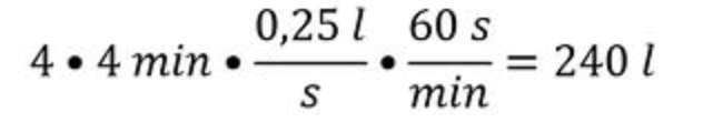
Reicht der Speicherinhalt für die morgendliche Duschorgie der vierköpfigen Familie mit einem Durchsatz von 0,25 Litern pro Sekunde aus? Dabei soll jeder Duscher 4 Minuten Zeit zum Duschen haben.
II: Festbrennstoffkessel mit der Fußbodenheizung
Ein Heizkessel für Festbrennstoffe liefert ständig Vorlauftemperaturen von 75°C. Die Fußbodenheizung soll für eine Vorlauftemperatur von 38°C ausgelegt werden, bei einem Volumenstrom von 1200 kg/h. Die Rücklauftemperatur der Fußbodenheizung beträgt 30 °C. Welche Menge des umlaufenden Wassers wird dabei aus dem Rücklauf der Fußbodenheizung beziehungsweise dem heißen Vorlauf des Kessels zugemischt?
III: Zirkulationsmischung
Am Eingang der Zirkulationsleitung aus den Steigeleitungen zurück in die waagerechte Kellerleitung mischt sich der Volumenstrom von 700 l/h bei 57,2 °C aus der liegenden Teilstrecke mit 70 l/h aus dem Steigestrang bei 58,5 °C. Welche Mischtemperatur stellt sich auf dem Weg in Richtung Trinkwassererwärmer ein?
Diese drei Problemstellungen können per Formel und zwei davon unter Zuhilfenahme eines Mischungskreuzes gelöst werden. Wir zeigen beide Wege zur korrekten Mischtemperatur.
Mischwasserberechnung: Formelle Lösung
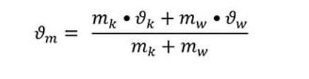
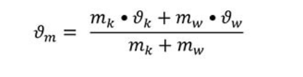
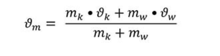
Die Ausgangsformel zur Mischwasserberechnung ist
Dabei steht
- mm für die Masse an gemischtem Wasser in Kilogramm [kg]
- ϑm für die Temperatur des gemischten Wassers in Grad Celsius [°C]
- mk für die Masse an Kaltwasser [kg]
- ϑk für die Temp. des Kaltwassers [°C]
- mw für die Masse an Warmwasser [kg]
- ϑw für die Temp. des Warmwassers [°C]
Mit dieser Mischwasser Formel können Sie jede Mischtemperatur berechnen. Dabei lässt sich die Formel leicht umstellen, wenn Sie beispielsweise die benötigte Menge an Warm- oder Kaltwasser berechnen müssen.
Lösung I: Trinkwasser für Warmduscher
Die Ausgangsformel aus Seite 1 lässt sich mit einigem Geschick umstellen. Gesucht wird die Masse an Warmwasser, die für diesen Vorgang notwendig ist.
Die Anforderung für das Duschproblem ist, dass 4 Personen jeweils 4 Minuten mit 0,25 Liter pro Sekunde duschen.
Während der Duschzeiten am Morgen sollten also insgesamt 240 Liter Warmwasser mit 40 °C bereitgestellt werden. Rechnet man ohne Nachheizung, so wird sich aus 150 Litern Heißwasser mit 60 °C eine bestimmte Menge an Mischwasser herstellen lassen. Der Vergleich gibt Aufschluss über die Realisierbarkeit.
Für sehr viele Anwendungen in der Sanitärtechnik und dem Heizungsbau kann man ausreichend genau 1 Kilogramm Wasser mit dem Volumen 1 Liter gleichsetzen.
- mm = 240 kg
- ϑm = 40 °C
- ϑk = 10 °C
- ϑw = 60 °C
- mw = gesucht
Die Anforderung von 240 Litern Warmwasser von 40 °C lässt sich also aus dem Speicher mit einem Volumen von 144 Litern und einer Temperatur von 60 °C durch Mischen mit Wasser von 10 °C herstellen, ohne eine Nachheizung. Der Speicher ist mit seinem Inhalt von 150 Litern ausreichend dimensioniert, um dieses Ziel zu erreichen.
Die Aufgabenstellung für den Lösungsansatz mit dem Mischungskreuz bleibt gleich:
- mm = 240 kg
- ϑm = 40 °C
- ϑk = 10 °C
- ϑw = 60 °C
- mw = gesucht
Man skizziert ein Kreuz, das in der Mitte und an den linken Ecken Platzhalter hat für die angenommenen Temperaturen, wie im Kreuz 1 gezeigt.
Dann rechnet man über Kreuz die Differenzen zwischen den Zahlen aus und trägt die Ergebnisse diagonal gegenüber ein. Und jetzt liest man bereits ein mögliches Ergebnis ab:
Das lautet:
Wenn man 30 Anteile Warmwasser von 60 °C nimmt und 20 Anteile Kaltwasser von 10 °C dazu mischt, ergibt dies ein Mischwasser von 40 °C.
Die beiden Massenanteile für kaltes und warmes Wasser ergeben zusammen 50 Anteile.
Gefragt war aber nicht nach 50 Anteilen, sondern nach 240 kg des Mischwassers.
Vorletzter logischer Schluss ist die Frage nach dem Gewicht von einem Anteil und der beträgt nun mal
240 kg/50 Anteile = 4,8 kg/Anteil
Von den 4,8 kg/Anteil rechnet man nun ganz einfach wieder hoch auf 30 Anteile Warmwasser
also 30 Anteile • 4,8 kg/Anteil = 144 kg
und auf 20 Anteile Kaltwasser
also 20 Anteile • 4,8 kg/Anteil = 96 kg
Die Probe ergibt, dass 144 kg plus 96 kg eine Masse von 240 kg ergeben.
Oder eingesetzt in die Urformel (ohne Einheiten):
Lösung II: Festbrennstoffkessel mit der Fußbodenheizung
Reduziert und ohne weitere Kommentare lässt sich die Aufgabenstellung wie folgt darstellen:
- mm = 1200 kg
- ϑm = 38 °C
- ϑk = 30 °C
- ϑw = 75 °C
- mk = gesucht
Rechnerisch läuft also ein Volumenstrom von 986,67 l/h als Rücklaufwasser durch den Dreiwegemischer, um das heiße Wasser, das vom Festbrennstoffkessel zur Verfügung steht, entsprechend zu kühlen.
Vom Kessel kommt der Differenzbetrag, also 213,33 l/h. Zusammen ergeben die Volumenströme dann wieder 1200 l/h.
Ergebnis aus dem Kreuz II:
Wenn man 8 Anteile Warmwasser von 75 °C nimmt und 37 Anteile Kaltwasser von 30 °C dazu mischt, ergibt sich eine Mischtemperatur von 38 °C.
Die beiden Massenanteile für kaltes und warmes Wasser ergeben zusammen 45 Anteile.
Gefragt war aber nicht nach 45 Anteilen, sondern nach 1200 kg Mischwasser für die Fußbodenheizung.
1200 kg/45 Anteile = 26,67 kg/Anteil
Von den 26,67 kg/Anteil rechnet man nun ganz einfach wieder hoch auf 37 Anteile Kaltwasser:
also 37 Anteile • 26,67 kg/Anteil = 986,67 kg
und auf 8 Anteile Kaltwasser
also 8 Anteile • 26,67 kg/Anteil = 213,33 kg
Die große Probe zeigt:
Durch die Rundung der Zahlen zeigt sich eine sehr geringe Abweichung.
Lösung III: Zirkulationsmischung
Die Ausgangsformel wird erneut umgestellt und ergibt folgendes Bild:
- mk = 700 l/h
- mw = 70 l/h
- mm = mk + mw = 770 l/h
- ϑk = 57,2 °C
- ϑw = 58,5 °C
- ϑm = gesucht
Eine grafisch unterstützte Lösung unter Einbeziehung des Mischungskreuzes ist zwar denkbar, vereinfacht aber den Vorgang nicht mehr.
Die große Probe ergibt:
Die Rundung der Zahlen verursacht ebenfalls eine sehr geringe Abweichung für die Probe.
Erstes Fazit
Dieses Thema des Mischens von kaltem und warmem Wasser (oder auch Luftmassen) und das Berechnen der Mischtemperatur begleitet den Anlagenmechaniker durch das gesamte Berufsleben. Die gezeigten Ansätze sind weitestgehend nachvollziehbar und, wenn man mal eingetaucht ist in diese Art der Mathematik, sind die Aufgaben auch aufgrund der Logik lösbar.
Geht man ein wenig in sich und macht man sich seinen eigenen Erfahrungsschatz mal bewusst, verblüfft vielleicht auch folgende Tatsache: Seitdem wir uns selbst das Badewasser einlassen können oder die Duschtemperatur einstellen, kennen wir auch schon das eben per Formel formulierte physikalische Gesetz, das da lauten könnte: „Nimm beim Duschen mehr von dem heißen Wasser, wenn es wärmer werden soll.“
Letztendlich ist die Mischwasserformel also eine von der Sorte, die man sich herleiten kann. Wenn Sie in drei Wochen darüber nachdenken, können Sie die Grundformel aus dem Kopf hinschreiben, weil diese logisch ist und aufgrund praktischer Erfahrungen bereits verinnerlicht wurde. Das Tabellen- und Formelbuch ist zumindest an dieser Stelle nicht mehr notwendig.
Zweites Fazit
Sie können aus der Mischwasserformel, die sich nun mal auf Temperaturen bezieht, ebenso auf chemische Konzentrationen von Lösungen schließen. Das ist notwendig im Zusammenhang mit Wasseraufbereitung wie in Enthärtungsanlagen für Trinkwasser.
In solchen Aufbereitungsanlagen wird nach der Enthärtung eines Teils des zugelaufenen Wassers sogenannt verschnitten. Man mischt die aufbereitete Lösung mit unbehandeltem Wasser und erhält eine neue Konzentration der Inhaltsstoffe. Ein solcher Prozess unterliegt einer augenscheinlich gleichen Formel wie der Mischwasserformel. Man kann die Konzentration in Lösungen ebenso unter Zuhilfenahme eines Mischungskreuzes nachrechnen.
Übrigens kennen Sie diesen Vorgang des Mischens von unterschiedlichen Konzentrationen in Flüssigkeiten auch bereits aus der Praxis. Denken Sie mal an die Tatsache, dass Whiskey on the rocks sich nach und nach verdünnt, wenn die Eiswürfel darin auftauen. Es darf für dieses Gedankenexperiment auch gerne Tee mit Eiswürfeln sein.
Dieser Beitrag von Elmar Held ist zuerst erschienen in SBZ Monteur 04/2020. Dipl.-Ing. (FH) Elmar Held ist verantwortlicher Redakteur des SBZ Monteur. Er betreibt ein TGA-Ingenieurbüro, ist Dozent an der Handwerkskammer Münster und Hochschule Düsseldorf sowie öffentlich bestellter und vereidigter Sachverständiger.


