Solarmodule: Mehr Leistung durch neuen Zellverbinder
Das Fraunhofer-Institut für Solare Energiesysteme ISE und Heraeus erforschen und optimieren neuartige, selektiv beschichtete Zellverbinder in einem gemeinsamen Forschungsprojekt. Der SCRTM-Zellverbinder (Selectively Coated Ribbon) erzielt einen Leistungsgewinn von durchschnittlich 1,9 W bei herkömmlichen Solarmodulen mit 60 Zellen. Der Verbinder lässt sich ohne Anlagenmodifikation und ohne zusätzliche Kosten in der industriellen PV-Modulfertigung einsetzen.
Das Fraunhofer ISE hat Module mit dem SCR-Verbinder in seinem akkreditierten TestLab PV Modules erfolgreich geprüft. Heraeus und Ulbrich entwickelten einen Prozess für die Herstellung des effizienten Zellverbinders und stellten das neue Produkt im September 2018 auf der EU PVSEC in Brüssel dem Fachpublikum vor.
Kristalline Siliciumsolarzellen sind üblicherweise durch lotbeschichtete Kupferverbinder verschaltet. Diese Verbinder sind auf die Vorder- und Rückseitenmetallisierung gelötet und führen den erzeugten Strom ab. Während herkömmliche Zellverbinder einfallendes Licht nicht nutzbar machen können, reflektieren die beschichteten Kanten des SCRTM-Verbinders das Licht indirekt auf die Zellfläche und erzeugen dadurch einen Leistungsgewinn. Der Effekt funktioniert unabhängig vom Einfallswinkel.
Dr. Achim Kraft, Teamleiter Verbindungstechnik am Fraunhofer ISE, ist überzeugt: »Unsere Tests haben den Leistungsgewinn und die Zuverlässigkeit bestätigt. Als „drop-in replacement“ in industriellen Prozesslinien hat der neue Verbinder beste Chancen, sich auf dem Modulmarkt durchzusetzen. «
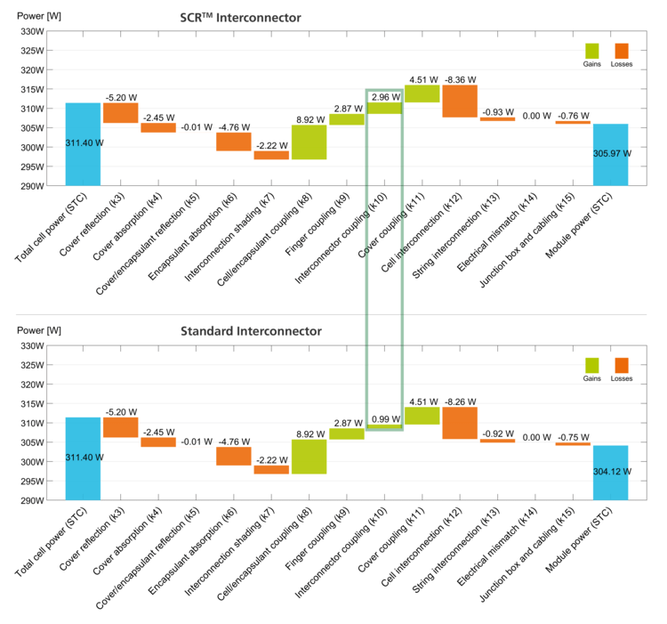
Berechnung des Leistungsgewinns durch SmartCalc.CTM
Das Software-Tool SmartCalc.CTM des Fraunhofer ISE ermöglichte die exakte Berechnung des Leistungsgewinns durch die SCRTM-Verbinder bereits im Vorfeld. Die CTM-Analyse (Cell-to-Module) ergab rechnerisch eine Leistungssteigerung von 1,85 W durch die Erhöhung der internen Reflexionsgewinne. Modulmessungen an einer Vor-Serie zeigten durchschnittlich 1,9 W Leistungssteigerung und bestätigten damit die Ergebnisse der CTM-Berechnung.
Mit dem SCRTM-Verbinder hergestellte Module zeigten in Belastungstests nach Prüfnorm IEC 61215 eine hohe Zuverlässigkeit. In erweiterten Tests wurden die Zellverbinder unter spezifischen Belastungen wie Temperaturwechsel, erhöhte UV-Einstrahlung und Feuchtelagerung im TestLab PV Modules am Fraunhofer ISE geprüft. Die Kombination aus UV-Belastung und Feuchtigkeit wird in einer speziellen Klimakammer realisiert und geht über die üblichen Standardtests der IEC Norm hinaus. Im direkten Vergleich zum gängigen Zellverbinder mit umlaufender Lotbeschichtung zeigten sich keine Einschränkungen hinsichtlich der Zuverlässigkeit.
