Wie funktioniert eigentlich ein Wärmepumpenheizkörper?
Eben noch konnten wir fast beliebig hohe Vorlauftemperaturen kostengünstig bereitstellen. Plötzlich zwingen uns die äußeren Umstände über niedrige Temperaturen nachzudenken.
„Watt is´ Watt“ könnte man jetzt entgegnen. Aber es hat sich rumgesprochen, dass man insbesondere beim Betrieb von Wärmepumpen mit niedrigen Vorlauftemperaturen operieren sollte. Die Industrie hatte schon lange Produkte, die diesem Anspruch entgegenkommen. Aber erst jetzt werden diese genügsamen Sparhelferlein vermehrt nachgefragt. Doch zuerst einmal die Fakten und Grundlagen über die Wärmepumpenheizkörper.
Wärmeübertragung: Diese Arten gibt es
Wir können drei Arten von Wärmeübertragung unterscheiden, nämlich: Wärmeleitung, Strahlung und Konvektion.
Wärmeleitung:
Im einfachen Fall liegt eine Wärmeflasche auf unserem Bauch und erwärmt uns im direkten Kontakt mittels Wärmeleitung. Wärmeleitung ist aber nichts, was wir ausdrücklich von einem Heizkörper erwarten. Er soll uns doch auch erwärmen, wenn wir uns nicht gerade an seine heiße Front lehnen.
Wärmestrahlung:
Ein weiterer nachvollziehbarer Wärmetransport ist spürbar, wenn uns Sonnenstrahlen erreichen. Je nach Intensität erwärmt uns die Sonne oder ein Heizstrahler auch ohne, dass wir Tuchfühlung mit der heißen Oberfläche aufnehmen. Die Strahlung kann dabei auch locker mal 149.600.000 Kilometer hinter sich bringen, wie bei der Entfernung Erde zur Sonne. Dabei überzeugt diese immer noch mit über 1000 Watt je Quadratmeter, zumindest an heißen Sommertagen. Strahlen kann ein Heizkörper auch.
Wärmekonvektion:
Gerade in der dunklen Jahreszeit kann man über einer Kerze die aufsteigende, warme Luft beobachten. Das bezeichnet man als Konvektion und wird ebenso von einem Heizkörper verlangt und erfüllt.
Heizkörper: Heizen mit Wärmekonvektion
Ein Heizkörper beschränkt sich in seiner Heizleistung im Wesentlichen auf Strahlung und Konvektion. Die zumeist große Frontfläche eines Heizkörpers kann Strahlungswärme an den Raum abgeben und wird bei einem Auftreffen auf einen Gegenstand oder eben einen Menschen diesen erwärmen.
Ist ein Heizkörper klassisch zweilagig gefertigt, so ergibt sich zwischen den beiden vom Heizwasser durchströmten Platten eine Erwärmung von Luftteilchen. Diese Luftteilchen dehnen sich durch Erwärmung aus und verlieren an Dichte. Kalte, schwere Luftteilchen sammeln sich am Boden und drücken nun die leichten Luftteilchen nach oben. Das führt zur Konvektion. Dieser Vorgang der Konvektion kann bei günstiger Anordnung des Heizkörpers zu einer Umwälzung der Luft im Aufstellraum führen und auf diese Weise den gesamten Raum erwärmen.
Ein Heizkörper strahlt uns also an und sorgt für Konvektion in dem er Luft durch Erwärmung umwälzt.
Ein Heizkörper kann unterschiedlichen Bedingungen unterworfen werden. Getestet wurde er jedoch bei einer Vorlauftemperatur von 75 °C und einer Rücklauftemperatur von 65 °C. Die Raumtemperatur soll unter den Testbedingungen bei 20 °C liegen. Normbedingungen für einen Heizkörper sind also 75/65/20 für Vorlauf/Rücklauf/Raum. Wer auch immer diese Testtemperatur festgelegt hat, hat auch gleichzeitig eine Formel zur Umrechnung der Leistung für andere Betriebsbedingungen gestiftet.
Die Wunderformel lautet:
Und diese logarithmisch gemittelte Übertemperatur ist auch kein Hexenwerk. Bei der Eingabe kann man sich zwar schon mal verhauen, aber dafür kann man ja überschlägig berechnen oder die Logik bemühen.
Dieses Ergebnis erklärt den Wert 49,83 innerhalb der Wunderformel.
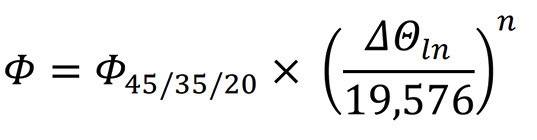
Leistung der Wärmepumpe: Grundlage 45/35/20
In den Unterlagen der Hersteller hat man die utopische Annahme von 75/65/20 zur besseren Einschätzbarkeit der tatsächlichen Heizkörperleistung auf umgängliche Temperaturen reduziert. Standard für Wärmepumpenheizkörper ist die Angabe welche Leistung ein Heizkörper abgibt, wenn dieser dann bei 45/35/20 betrieben wird.
Setzt man diese Werte als Grundlage voraus, ergibt sich natürlich auch eine angepasste Temperatur in der Grundgleichung.
Nochmals, zum besseren Verständnis. Ursprünglich haben sämtliche Heizkörperhersteller die Prüfbedingungen für die Normleistung eines Heizkörpers mit 75/65/20 festgelegt und die Leistung in Watt angegeben.
Da diese Bedingungen zur Einschätzung der Heizkörperleistung in Wärmepumpenanlagen nicht aussagekräftig sind, hat man die Auslegungsbedingungen angepasst.
Daher gibt es die Formel zur Umrechnung wenn eine Heizkörperleistung unter Normbedingungen angegeben wird oder eben unter Bedingungen im Betrieb mit einer Wärmepumpe.
Praxisbeispiel 1: Leistung für Wärmepumpenheizkörper berechnen
Um diese Bedingungen noch weiter in die Praxis einbeziehen zu können soll ein konkretes Beispiel für einen Wärmepumpenheizkörper gerechnet werden.
In einem Wohnhaus soll ein Heizkörper unter den Bedingungen im Betrieb mit einer Wärmepumpe berechnet werden. Die Wärmepumpe liefert 38 °C als Vorlauftemperatur. Die Rücklauftemperatur soll bei 30 °C liegen. Der Raum wird auf 20 °C beheizt. Gegriffen wird der Startwert für den Heizkörper aus einer Tabelle für die Bedingungen unter 45/35/20. Welche Leistung liefert dieser Heizkörper unter statischen Bedingungen und welche Leistung wird maximal herauszuholen sein? Und mit welcher Leistung soll ich diesen auslegen. Sie merken schon, jetzt wird es ernst. Die Eingangsformel will zusammenhängend genutzt werden.
Im ersten Schritt soll also jetzt die logarithmisch gemittelte Temperatur für die echten Einsatzbedingungen ermittelt werden.
Damit haben wir die Formel zur Berechnung der endgültigen Leistung fast komplett.
Es fehlt aber noch die Angabe zu dem hochgestellten „n“ dem sogenannten Exponenten. Und Sie merken jetzt, warum das bis hierher rausgezögert wurde.
Der klassische Wärmepumpenheizkörper (WPHK) kann unterschiedliche Exponenten haben. Sie können also die Leistung für verschiedene Betriebsarten der Wärmeabgabe berechnen.
Heizkörper für Wärmepumpe: Verschiedene Betriebsarten
Konventioneller Betrieb
Die erste ist eine Leistungsangabe für den Fall, dass dieser wie sein schlichter Bruder betrieben wird. Ein vorhandener Ventilator unter dem Heizkörper wird nicht eingeschaltet.
Betrieb mit einem Ventilator
Eine weitere Leistungsangabe bezieht sich auf den krassen Unterschied des Wärmepumpen-Heizkörpers.
Dieser kann unterstützend für die natürliche Konvektion kleine Ventilatoren für eine erzwungene Konvektion zuschalten.
Die Luftbewegung ist also nicht allein abhängig von Dichteunterschieden der kalten, schweren Luft am Boden, die sich dann am Heizkörper erwärmt und aufsteigt. Im Wärmepumpenheizkörper wird die Luft manuell beschleunigt und die Bewegung staut sich selbst bei sehr geringen Dichteunterschieden nicht.
Wie eingangs des Berichts bereits beschrieben ergibt sich eine Heizkörperleistung aus Strahlung und Konvektion. Beim Wärmepumpenheizkörper kann man die erzwungene Konvektion zuschalten, gewissermaßen als Booster.
In der Baulänge eines Heizkörpers finden mehrere einzelne Ventilatoren Platz. Werden diese auf Höchstdrehzahl gebracht, ergibt sich auch die höchste Leistung des Heizkörpers, die in den Listen der Hersteller als maximale Wärmeleistung angegeben wird. Hat sich die Drehzahl der Ventilatoren eingependelt auf ein sinnvolles Verhältnis von Temperaturen der Luft und der Heizkörperplatte, ergibt sich die empfohlene Auslegungswärmeleistung.
Drei Betriebsarten, drei Exponenten
Es ist zu erkennen, einen Heizkörper ohne erzwungene Konvektion zu betreiben verknüpft diesen mit einer gewissen Eigenschaft, die sich in dem Exponenten spiegelt. Seine Wärmeleistung kracht bei niedrigen Vorlauftemperaturen ordentlich zusammen
Bei erzwungener heftiger Konvektion zwischen den Heizplatten ergibt sich eine weitere Wärmeleistung, sowie ein zugehöriger Exponent. Bei erzwungener angepasster Konvektion ergibt sich nochmals eine Leistung und natürlich entsprechend ein weiterer Exponent.
Einem Heizkörper kann man letztlich unendlich viele Exponenten zuordnen, je nach Heftigkeit der erzwungenen Konvektion.
Praxisbeispiel 2: Ausführliches Zahlenbeispiel
Die Betriebsbedingungen für einen beispielhaft durchgerechneten Heizkörper haben wir eben genannt (38/30/20).
Aus den Listen des Herstellers soll ein Heizkörper ermittelt werden, der unter den genannten Betriebsbedingungen mindestens 430 Watt als Auslegungswärmeleistung erbringt und unters Fenster passt. Der Heizkörper soll daher eine Höhe von 600 mm nicht überschreiten.
Machen wir uns kurz klar, was gemeint ist:
Ein Heizkörperhersteller bringt nicht für jede Temperaturkombination die ich mir wünsche oder vorstellen kann eine Liste mit Leistungsdaten heraus.
Er stellt in diesem konkreten Fall eine Liste vor, die unter den Bedingungen 45/35/20 eine Leistung beschreibt. Ich will nicht vordergründig wissen, welche Leistung der Heizkörper unter diesen, gelisteten Bedingungen schafft (45/35/20), sondern dass der Heizkörper nach meinen Vorgaben (38/30/20) die Erwärmung hinbekommt.
Die Frage lautet daher:
Welchen Heizkörper aus der mir vorliegenden Liste muss ich rauspicken, damit er meinen Vorgaben genügt?
Als ersten Schritt schaue ich in die Liste auf Seite 15 nach der Auslegungswärmeleistung und beschränke mich auf eine Bauhöhe bis 559 mm.
Da die Heizkörperliste sich auf Temperaturen bezieht die nahe bei meinen Bedingungen liegen, kann ich schon einschränken auf einige, wenige Baulängen. Entweder wird es 805 mm mit 517 W oder 1005 mm mit 646 W oder sogar 1205 mm mit 774 W.
Allen Heizkörpern ist der gleiche Exponent von 1,054 zugeordnet. Damit lässt sich hoffentlich der korrekte Heizkörper finden.
Einsatz in die Formel:
Entweder
Mit dieser Formel bekomme ich heraus, welche Leistung ein bekannter Heizkörper unter den genannten Bedingungen abgeben würde.
Oder:
Durch die Umstellung der Formel bekomme heraus, welche Leistung ich in einer Tabelle suchen sollte.
Aus einer Liste für die Betriebsbedingungen 45/35/20 müsste ich also einen Heizkörper picken, der 630 W Leistung bringt.
Ergebnis:
Der Heizkörper mit der vorgewählten Bauhöhe von 559 mm müsste eine Länge von 1005 mm und würde dann laut Liste 646 W Leistung abgeben. Die Kontrollrechnung zeigt, welche Leistung dieser Heizkörper dann unter den gewählten Bedingungen abgeben würde.
Was kann ich gedanklich noch herleiten?
Lässt man sich die soeben rechnerisch nachgewiesene, geringere Leistung bei 38/30/20 durch den Kopf gehen, so bestätigt die Logik den berechneten Wert. Unter den Bedingungen aus der Liste 45/35/20 wäre das Wasser heißer als Vorlauf eingeströmt (45 statt 38 °C) und sogar auch heißer aus dem Rücklauf ausgeströmt (35 statt 30). Klar wäre der Heizkörper dann leistungsfähiger. Und in beiden Fällen hätte er ja gegen eine Raumtemperatur von 20 °C angeheizt.
Der Knackpunkt im Hirn ist bei den meisten an der Stelle, an der man sich entscheiden muss, welche Formel man anwendet. Die Urformel rechnet die Leistung um, die umgestellte Formel definiert den Suchwert.
Dabei muss man übrigens nur den Kehrwert von dem Bruch samt Exponenten bilden. Angewendet in der Urformel des gerechneten Beispiels kommt der Wert 0,681 raus. Der Kehrwert von 0,681 ist 1/0,681 = 1,46.
Mein Vorschlag zur Logik:
Ich mache mir vorher Gedanken, ob die Lösung einen höheren Zahlenwert erwarten lässt oder einen kleineren. Lassen also die eingesetzten Bedingungen für den Heizkörper eine Zunahme gegenüber dem Tabellenwert erwarten oder eine Abnahme. Wenn ich diese Prognose klar beantworten kann, brauche ich mir keine Gedanken über die richtige Formelauswahl zu machen.
Das könnte Sie auch interessieren

Dieser Artikel ist zuerst in SBZ Monteur erschienen. Um ein kostenloses Probeheft zu bestellen, klicken Sie hier.
Das Fachportal für die Gebäudetechnik
