Wie funktioniert eigentlich die Auslegung einer Fußbodenheizung?

Laut dem Bundesverband der Flächenheizung (BVF) sind bereits 24,0 Millionen m² Heizfläche als Fußbodenheizung (FBH) in Deutschland installiert worden. In diesen Flächen wurden insgesamt 185 Millionen Meter Rohr verlegt, davon alleine im Jahr 2017 13,7 Millionen Meter (Stand 2018).
Wie aber sieht es mit dem Wissen über diese Technik aus? Vor allem das ständig abrufbare, also das präsente, Wissen, ist recht wackelig. Ich höre sehr oft, dass die Monteure häufig einen Verlegeabstand von 10 cm einbringen. Aber dann hört es auch schon auf mit den Detailkenntnissen. Aufgrund der Verbreitung und damit der Bedeutung dieser Technik hilft es natürlich, wenn man mehr an Grundwissen mit sich trägt und abrufen kann.
Grundsätzliches
Jedem von uns ist es zum Teil auf schmerzliche Weise bekannt geworden, dass eine Temperaturdifferenz entscheidend ist für die Wärmeleistung einer Heizfläche. Gerade jetzt, während der Grillsaison, wird erlebbar, dass die geringe Strahlungswärme eines Holzkohlegrills in der Startphase kaum das Grillgut beeindruckt. Die Prüfung mit der Handfläche über der Kohle signalisiert eine geringe Leistung. Glüht der gesamte Kohlehaufen, vermag man nur noch kurz mit der Hand über dem Grillrost zu fuchteln. Es ist heiß und die Wärmeleistung entsprechend hoch. Mit gleicher Fläche kann der Grill also in der Startphase 50 W Leistung abgeben und dann in voller Glut bei 5000 W landen.
Entweder du arbeitest mit einer großen Fläche, dann reicht eine geringe Temperaturdifferenz zur Leistungsabgabe. Oder du arbeitest mit hoher Temperaturdifferenz und kannst mit kleiner Fläche auskommen. Das lässt sich sehr leicht übertragen auf die Unterscheidung eines kompakten Heizkörpers, der grundsätzlich mit höherer Temperatur arbeitet als eine großflächige FBH.
Was tun mit diesem Wissen?
Ein Heizkörper wird sehr häufig für eine Vorlauftemperatur von 55 °C ausgelegt. FBH können auch schon mit 35 °C zufrieden sein. Diese 20 Kelvin als Differenz zwischen 55 °C und 35 °C sind aber entscheidend für die Effizienz von Wärmeerzeugern. Das krasseste Beispiel für einen Unterschied in der Effizienz zeigt sich bei einer Wärmepumpe.
Während diese sich bei Vorlauftemperaturen bis 35 °C äußerst effizient arbeitet, kippt die Situation, wenn eine solche Wärmepumpe tatsächlich 55 °C liefern soll. Ein Brennwertkessel kann zwar locker 55 °C liefern, arbeitet aber auch effizienter und, wenn man so will, brennwertiger, wenn das Gebäude auch mit 35 °C im Vorlauf auskommt.
Ein gängiges Ziel zur Beheizung ist es also, die notwendigen Vorlauftemperaturen eines Wärmeerzeugers so niedrig wie nötig zu halten. Jetzt spannen wir den Bogen zurück zur Auslegung einer FBH und den damit verbundenen Zusammenhängen.
Basis der Auslegung
Das Ziel zur Beheizung eines Raumes wird durch die Berechnung einer Heizlast vorgegeben. Immer vor dem Hintergrund der eben genannten Zusammenhänge kann man bei einer FBH mit Schätzungen nicht viel anfangen. Es liegen nämlich Welten zwischen der Beheizung eines Raumes mit angenommen 10 m² Grundfläche, wenn dieser mit einer Heizlast von 800 W oder eben nur 500 W daherkommt. In diesen Beispielen ergeben sich nämlich zwei extreme Zielwerte:
Der 10-m²-Raum mit 800 W benötigt pro Quadratmeter 80 W Leistung und der 10-m²-Raum mit 500 W benötigt pro Quadratmeter 50 W.
Basis einer FBH-Auslegung muss es also sein, die Anforderung genau zu kennen. Die Heizlastberechnung nach DIN EN 12831 geht also jeder FBH-Auslegung voran. Für die Heizlast ist es wichtig, die angestrebte Raumtemperatur zur Beheizung zu kennen. Standard für Wohnräume ist meist 20 °C und für Bäder 24 °C.
Ein einfacher Fall zum Einstieg
Mit den eben im Beispiel genannten Vorgaben kann man in die Auslegungstabellen eines Systemanbieters für FBH wandern und stumpf auswählen.
Zwei Beispiele sollen dies erläutern:
Beispiel 1:
Raumfläche 10 m², Heizlast: 800 W, Raumtemperatur 20 °C, Vorlauftemperatur 50 °C
folglich sollen 80 W/m² geliefert werden
Beispiel 2:
Raumfläche 10 m², Heizlast: 500 W, Raumtemperatur 20 °C, Vorlauftemperatur 50 °C
folglich sollen 50 W/m² geliefert werden
Für das Beispiel 1 ergibt sich zur Ablesung umgangssprachlich:
Wenn du 80 W/m² forderst, solltest du einen Verlegeabstand von 10 cm (Vz) wählen. Dabei ergibt sich dann eine Oberflächentemperatur von 27,3 °C (ϑF,m). Du kannst unter diesen Umständen maximal 7,5 m² mit einem Heizkreis verlegen (AFmax), daher sind in diesem Raum mindestens zwei Kreise notwendig.
Für das 2. Beispiel ergibt sich zur Ablesung umgangssprachlich:
Wenn du 50 W/m² forderst, brauchst du nur einen Verlegeabstand von 30 cm (Vz) wählen. Dabei ergibt sich dann eine Oberflächentemperatur von 24,8 °C. Du kommst unter diesen Umständen locker mit nur einem Kreis aus.
Diese sehr schlichte erste Annäherung reicht für eine solide Schätzung aus, zeigt aber noch nicht sehr viel über das Verhalten einer FBH. Das ergibt sich erst beim genaueren Betrachten eines Auslegungsdiagramms.
Was sich anhört wie höhere Mathematik, soll hier die Eigenschaften einer FBH verdeutlichen. Zunächst eine Erklärung der Begriffe:
Heizmittelübertemperatur
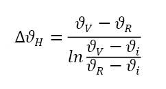
Die von links nach rechts steigenden Geraden in dem Auslegungsdiagramm beschreiben die Heizmittelübertemperaturen. Damit wird sinngemäß die in dem Grillbeispiel genannte Temperaturdifferenz beschrieben, nur eben bezogen auf eine FBH und in der Differenz zum beheizten Raum. Leider ergibt sich diese Heizmittelübertemperatur als ein sogenanntes logarithmisches Mittel von Vorlauftemperatur, der Rücklauftemperatur und der Norm-Innentemperatur des Raumes. Leider deshalb, weil man sich das logarithmische Mittel nicht gut vorstellen kann. Gedanklich ist aber Folgendes nachvollziehbar:
Eine FBH wird von 50 °C heißem Wasser durchströmt und dieses Heizwasser kühlt sich natürlich auf dem Weg durch das FBH-Rohr ab, während die Wärme an den Raum übergeben wird. Kommt das Wasser nach der Beheizung mit 40 °C wieder zurück aus dem Raum und dieser Raum hat eine Temperatur von 20 °C, dann ist die Differenz zwischen Raum und Heizmittel errechenbar.
Die mittlere Temperatur des Heizwassers läge genau auf der Mitte zwischen 50 und 40 °C, also bei 45 °C. Damit läge nach dieser schlichten Betrachtung die Übertemperatur bei 25 K.
Im Kopf gut nachvollziehbar, genauer wird diese Betrachtung aber erst dann, wenn man nicht das soeben beschriebene arithmetische, sondern das logarithmische Mittel bildet. Wer will, kann sich diese Formel des logarithmischen Mittels ansehen und das Beispiel überprüfen. Für den Durchblick bei der FBH ist der Ansatz über das arithmetische Mittel aber völlig ausreichend.
Für den gedanklichen Ansatz reicht es also im Beispiel aus, das leicht zu errechnende arithmetische Mittel mit 25 K zu betrachten und nicht zwingend auf das logarithmische Mittel zu wechseln.
Wärmeleitwiderstand
Der Bodenbelag eines Raumes, der mittels FBH beheizt wird, muss selbstverständlich in die Betrachtung der Wärmeabgabe einbezogen werden. Klar ist, dass ein hoher, dicker Teppich den Wärmefluss von FBH zum Raum mehr ausbremst als eine dünne Fliese.
Diese Eigenschaft findet sich wieder in dem Wärmeleitwiderstand, wobei die dünne Fliese eher den geringen Widerstand darstellt (im Diagramm 0,05 m²K/W) und der dicke Teppich sich mit einem hohen Widerstand zeigt (im Diagramm 0,15 m²K/W). Da man nicht immer genau wissen kann, ob der zu beheizende Raum auf Dauer nur mit Fliese oder doch irgendwann mit einem Teppich ausgelegt bleibt, nimmt man regelmäßig den Wert von 0,15 m²K/W als Widerstand an.
Grenzkurve einer Aufenthaltszone
In den Diagrammen sind für den jeweiligen Verlegeabstand sogenannte Grenzkurven eingezeichnet. Diese markieren die Grenze, ab der oberhalb der Kurve die Temperaturmarke von 29 °C als Fußbodenoberflächentemperatur überschritten würde.
Diese magischen 29 °C gelten als Grenze in Aufenthaltsbereichen und dürfen nach den allgemein anerkannten Regeln der Technik grundsätzlich nicht überschritten werden. Auf Ausnahmen zu dieser Grenze wird in diesem Bericht nicht eingegangen, um den roten Faden nicht zu verlieren.
Ablesung aus Diagramm
In dem Diagramm sollen, nach Kenntnis fast aller Einflüsse auf eine FBH, einige Vergleiche angestellt werden. Damit werden auch die letzten Tröpfchen der Erkenntnis gesammelt.
Ablesebeispiel zu verschiedenen Leitungsanforderungen:
- Raumtemperatur: 20 °C,
- Vz 30 cm
- Wärmeleitwiderstand: 0,10 m²K/W,
- a) spezifische Heizlast: 40 W/m²,
- b) spezifische Heizlast: 60 W/m²,
- c) spezifische Heizlast: 80 W/m²
Ablesebeispiel zu verschiedenen Oberböden:
- spezifische Heizlast: 50 W/m²,
- Raumtemperatur: 20 °C,
- Vz 10 cm
- d) Wärmeleitwiderstand: 0,15 m²K/W,
- e) Wärmeleitwiderstand: 0,10 m²K/W,
- f) Wärmeleitwiderstand: 0,05 m²K/W
Diskussion und Auswertung
Zu Auslegung a):
Wenn du 40 W/m² forderst bei den gegebenen Bedingungen, benötigst du eine Heizmittelübertemperatur von rund 17 K. Wenn also der Raum auf 20 °C beheizt wird, musst du im Mittel 17 K darüber liegen, also bei 37 °C.
Zu Auslegung b):
Wenn du 60 W/m² forderst, brauchst du eine Heizmittelübertemperatur von fast 25 K, also im Mittel 45 °C.
Zu Auslegung c):
Wenn du 80 W/m² forderst, brauchst du eine Heizmittelübertemperatur von ca. 33 K, also im Mittel 53 °C. Und bitte beachte, du liegst über der Grenzkurve für eine Aufenthaltszone. Das wird im Zweifel zumindest stellenweise zu heiß an den Füßen deiner Kunden.
Wenn 80 W/m² gefordert sind, musst du in diesem Beispiel auf eine engere Teilung wechseln. Vz 20 ist angesagt und bringt die geforderte Leistung bei einer Heizmittelübertemperatur von nur noch 26 K, also im Mittel bei 46 °C.
Fazit für die Auslegung von a) bis c) ist:
Nur bei geringer Leistungsanforderung, wie im Beispiel mit 40 W/m² bei 37 °C, kann man mit geringen Temperaturen arbeiten. Hohe Leistungen fordern hohe Vorlauftemperaturen, wie im Beispiel mit 80 W/m² bei 53 °C. Reduziert man jedoch den Verlegeabstand, kann man hohe Leistungen auch bei geringen Übertemperaturen erreichen.
Zu Auslegung d):
Da steht in der Übersetzung: Wenn du 50 W/m² forderst und dein Oberboden einen hohen Wärmeleitwiderstand besitzt (0,15 m²K/W), musst du schon mit 16 K Übertemperatur rangehen, also mit 36 °C im Mittel.
Zu Auslegung e):
Wenn du 50 W/m² forderst und dein Oberboden einen mittleren Wärmeleitwiderstand besitzt (0,10 m²K/W), brauchst du eine geringere Übertemperatur von nur noch 13 K. Daher reicht es mit 33 °C im Mittel.
Zu Auslegung f):
Wenn du 50 W/m² forderst und dein Oberboden einen sehr geringen Wärmeleitwiderstand besitzt (0,05 m²K/W), brauchst du nur noch 10 K Übertemperatur. Daher reicht es mit 30 °C im Mittel.
Fazit für die Auslegung d) bis f) ist:
Der Wärmeleitwiderstand des Oberbodens hat einen nicht zu unterschätzenden Einfluss auf die Leistungsabgabe einer Fußbodenheizung. Im Zweifel rechnet man daher mit einem Wert von 0,15 m²K/W oder fragt genau nach, ob Teppich oder Fliese berücksichtigt werden soll.
Letzte große Erkenntnis
An der Übertemperatur sieht man deutlich den Effekt der Temperaturen für eine Fußbodenheizung. Dabei ist natürlich die Starttemperatur, also der Vorlauf, eine Größe. Abhängig vom Wärmeerzeuger legen wir beispielsweise 50 °C für ein Brennwertgerät fest und nur 35 °C für einen Wärmepumpe.
Auf die Rücklauftemperatur nehmen wir Einfluss, wenn wir den Volumenstrom eines einzelnen Kreises bestimmen. Ein langsamer, weil geringer Strom kühlt auf dem Weg durch die Rohrschlange der FBH schneller ab als ein schneller, üppiger Strom. Das bedeutet letztlich, dass in diesem Diagramm auch die Hydraulik berücksichtigt wird.
Die Spreizung zwischen Vor- und Rücklauf gepaart mit dem Massenstrom ergibt die Leistung, denn Q=m*c*ΔT. Und damit sind wir wieder bei einer der ewigen Wahrheiten der Heizungstechnik. Der hydraulische Abgleich ist daher eine unbedingt notwendige Maßnahme für die korrekte Funktion aller Kreise.
Dieser Artikel von Elmar Held ist zuerst erschienen in SBZm 08 / 2018.


