Pumpen und Thermostatventile richtig auslegen

Aufgrund der unterschiedlichen Netzgeometrie und der eingesetzten Pumpen- und Ventiltypen sind im Bestand je nach Anlagentyp unterschiedliche Berechnungsschritte erforderlich, um die richtigen Ventil- und Pumpeneinstellungen zu ermitteln. Im Folgenden werden Rohrnetze betrachtet, wie sie in Ein- und Zweifamilienhäusern vorkommen, sowie Rohrnetze in größeren Gebäuden.
Kleine Rohrnetze mit stufenlos einstellbarer Pumpe
Zunächst wird die Auslegung von Pumpen und Thermostatventilen für kleinere Rohrnetze in Ein- und Zweifamilienhäusern mit stufenlos einstellbarer Pumpe und voreinstellbaren Thermostatventilen dargestellt.
Ermittlung der Rohnetzverluste
Bei Bestandsanlagen ist eine detaillierte Rohrnetzberechnung in der Regel sehr aufwendig. Allerdings sind in den meisten Bestandsnetzen die Druckverluste so klein, dass auf eine detaillierte Aufnahme des realen Rohrnetzes verzichtet werden kann.
Seit den 1980er-Jahren blieb die Dimensionierung der Rohrnetze weitgehend unverändert. Die gewählten Rohrdurchmesser beruhen auf den früher typischen spezifischen Heizlasten und Auslegungsspreizungen. Zur Abschätzung der Rohrnetzverluste entwickelte die Ostfalia Hochschule im Rahmen des Optimus-Projektes einen vereinfachten Ansatz, der von folgenden weit verbreiteten Auslegungsrandbedingungen ausgeht:
- Spezifische Heizlast: qalt = 100 W/m2
- Typische Auslegungstemperaturspreizung: 20 K
- Spez. Volumenstrom (bei 20 K Auslegungsspreizung): v = 43 l/(h · kW)
- Auslegungsdruckgefälle: Ralt = 100 Pa/m
Gegeben sind An, Vges und lStrang
An: beheizte Heizkreisfläche [m2]
Vges: Summe der Heizkörperauslegungsvolumenströme [l/h]
lStrang: abgeschätzte Leitungslänge von der Pumpe zum entferntesten Heizkörper [m]
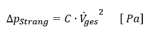
Die Rohrnetzkonstante C wird mit den Auslegungsdaten des alten Bestandnetzes berechnet:
Mit dem aktuellen Auslegungsvolumenstrom lässt sich der Strangdruckverlust ermitteln:
Wie groß der Druckverlust bis zu den jeweiligen Heizflächen ist, hängt von der Entfernung zwischen der Umwälzpumpe und dem Heizkörper ab. Deshalb wird eine Aufteilung des Netzes in die drei Zonen nah, mittel und weit empfohlen.
Der Netzdruckverlust der einzelnen Heizflächen ergibt sich dann entsprechend der zugeordneten Zone:
- HK in Zone weit: ΔpHK,weit = ΔpStrang
- HK in Zone mittel: ΔpHK,mittel = ΔpStrang · 0,66
- HK in Zone nah: ΔpHK,nah = ΔpStrang · 0,33
In den vorangegangenen Abschnitten wurden Druckverluste in geraden Rohrleitungen sowie Verluste aus Formteilen und Absperrorganen betrachtet. Sollten in der Heizzentrale Bauteile vorhanden sein, die erhöhte Druckverluste erzeugen, so sind diese als Sonderdruckverluste (pSonder) zu berücksichtigen. Zu diesen Bauteilen gehören insbesondere
- Rückschlagklappen
- Schmutzfänger
- Wärmeübertrager
- Wärmemengenzähler
Der Netzdruckverlust beträgt dann ΔpNetz = ΔpStrang + ΔpSonder
Hydraulisch ungünstige Heizkörper
Zunächst werden Ventile für die hydraulisch ungünstigsten Heizkörper ausgewählt, wobei die Ventilautorität zu berücksichtigen ist. Als hydraulisch am ungünstigsten werden die Heizkörper in der Zone „weit“ angenommen. Das ist natürlich eine Vereinfachung, da jede Netzmasche einen anderen Netzdruckverlust erzeugt. Die Unterschiede können aber in der Regel vernachlässigt werden.
Um eine ausreichende Regelgüte zu erreichen, wird eine Ventilautorität von av = 0,3 bis 0,5 angestrebt:
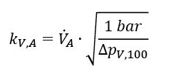
Berechnung der kV,A-Werte
Im nächsten Schritt werden die kV,A-Werte für Heizkörper in der Zone „weit“ berechnet:
Für die Auswahl der Ventile wird zunächst der kV-Wert des nicht voreingestellten Ventils zugrunde gelegt. Die Ventilautorität kann nicht durch eine Voreinstellung erhöht werden. Leider ist es oft schwierig oder sogar unmöglich, am Markt entsprechend kleine Ventile zu finden, mit denen sich die berechneten kleinen kV-Werte realisieren lassen. Dies führt zu einer geringeren Ventilautorität und einer schlechten Regelbarkeit.
Pumpenförderhöhe ermitteln
Die einzustellende Pumpenförderhöhe ergibt sich aus der Summe von Netzverlust und Druckdifferenz über dem gewählten Thermostatventil:
ΔpPumpe = ΔpNetz + ΔpV100
Voreinstellungen für alle weiteren Heizkörper
Alle Thermostatventile in Netzmaschen mit kleineren Druckverlusten müssen in der Regel durch Voreinstellung gedrosselt werden.
- Thermostatventile in Zone „mittel“: ΔpV100 = ΔpPumpe - ΔpSonder - ΔpStrang · 0,66
- Thermostatventile in Zone „nah“: ΔpV100 = ΔpPumpe - ΔpSonder - ΔpStrang · 0,33
Der kV,A-Wert für die Thermostatventile zu diesen Heizflächen wird dann wie für die Heizkörper in der Zone „weit“ berechnet:
Kleine Rohrnetze, Pumpe nicht stufenlos einstellbar
Auch hier werden kleinere Rohrnetze in Ein- und Zweifamilienhäusern betrachtet, diesmal allerdings in Anlagen, bei denen eine stufenlose Differenzdruckeinstellung (Pumpenförderhöhe) an der Pumpe nicht möglich ist. Diese Konstellation ist insbesondere in Kombination mit wandhängenden Brennwertkesseln häufig anzutreffen. Die Pumpenförderhöhe ergibt sich in diesem Fall nicht aus der Anforderung der Anlage, sondern aus der Vorgabe des Kesselherstellers für die Pumpenförderhöhe bzw. für die Differenzdruckerhöhung durch die Pumpe. Diese oft viel zu großen Pumpen führen zwangsläufig zu hohen Voreinstellungen an den Thermostatventilen und damit zur Verschlechterung der Regelgüte. Bei zu großer Pumpenförderhöhe ist folgende Vorgehensweise für die Einstellung zu empfehlen:
Ermittlung der Pumpenförderhöhe
Die Pumpenförderhöhe wird ermittelt, indem beim berechneten Auslegungsvolumenstrom des Heizkreises die Förderhöhe der Pumpe aus dem Pumpendiagramm des Herstellers abgelesen wird. Leider stellen einige Wandgerätehersteller keine Pumpendiagramme in den technischen Unterlagen zur Verfügung. Ohne Einstelldiagramm und Einstellanleitung ist jedoch eine korrekte Pumpeneinstellung nicht möglich. Hier muss dringend Abhilfe geschaffen werden.
Berechnung der kv-Werte
- Thermostatventile in Zone „weit“: ΔpV100 = ΔpPumpe - ΔpSonder - ΔpStrang
- Thermostatventile in Zone „mittel“: ΔpV100 = ΔpPumpe - ΔpSonder - ΔpStrang · 0,66
- Thermostatventile in Zone „nah“: ΔpV100 = ΔpPumpe - ΔpSonder - ΔpStrang · 0,33
Größere verzweigte Bestandsrohrnetze
Bei größeren Mehrfamilienhäusern nimmt der Einfluss der Druckverluste im Rohrnetz zu. Eine Vereinfachung der Berechnung mit der Zonenaufteilung, wie sie oben beschrieben wurde, ist für diese Gebäude eventuell nicht mehr ausreichend und kann zu einer falschen Auslegung führen.
Strangdifferenzdruckregler in den Steigesträngen
Deshalb wird empfohlen, Netze in größeren Mehrfamilienhäusern mit Strangdifferenzdruckreglern aufzuteilen. Hydraulisch wird dabei ein großes verzweigtes Netz in mehrere Netze mit konstant geregeltem Differenzdruck aufgeteilt. Die Heizungsanlage in Abb. 1 kann durch den Einsatz der Differenzdruckregler wie drei kleine Anlagen mit jeweils zwölf Heizkörpern behandelt werden. Die Einstellwerte der Differenzdruckregler werden dann analog zur Ermittlung des Pumpendrucks im Abschnitt „Kleinere Rohrnetze mit stufenlos einstellbarer Pumpe“ berechnet. Für jeden Regler werden der benötigte Differenzdruck und der Sollvolumenstrom ermittelt.
Der Betriebspunkt der Umwälzpumpe lässt sich dann wie folgt einstellen:
- Volumenstrom: VPumpe = VStrang 1 + VStrang 2 + VStrang 3
- Förderhöhe: HPumpe = max (HStrang 1, HStrang 2, HStrang 3) + HZuleitung
Der Druckverlust der Zuleitung (HZuleitung) kann dabei anhand des Rohrdurchmessers und des Gesamtvolumenstroms einfach abgeschätzt werden.
Ventile mit automatischer Durchflussbegrenzung
Aufgrund ihrer Konstruktion arbeiten Ventile mit automatischer Durchflussbegrenzung auch bei hohem Differenzdruck geräuschfrei. Lediglich ein Mindestdifferenzdruck ist einzuhalten. Typisch sind dafür 100 bis 150 mbar am Ventil.
Ein unnötig hoher Pumpendruck soll natürlich vermieden werden, da er einen erhöhten Stromverbrauch zur Folge hätte. In verzweigten Bestandsrohrnetzen sind die Druckverluste oft nur schwer zu ermitteln. Dort kann der Einsatz von Ventilen mit automatischer Durchflussbegrenzung sinnvoll sein. Um unnötig hohe Pumpenleistungen zu vermeiden, die Regelbarkeit zu verbessern und einen energiesparenden Betrieb zu erreichen, bieten einige Ventilhersteller die Möglichkeit, den anstehenden Differenzdruck am Ventil zu messen und damit die Pumpe anzupassen.
Folgende Vorgehensweise wird beim Einbau dieser Ventile in größeren Rohrnetzen empfohlen:
- Dem berechneten Auslegungsvolumenstrom einen Voreinstellwert in l/h zuordnen
- Alle Verbraucher öffnen und den Differenzdruck an den entferntesten Thermostatventilen (Schlechtpunkte) messen
- Die Pumpenförderhöhe reduzieren, bis nur noch der vorgegebene notwendige Mindestdruck am Thermostatventil ansteht
Achtung: Wird die Pumpenförderhöhe nicht angepasst, kann der Einsatz der Ventile zu einem Mehrverbrauch elektrischer Hilfsenergie führen!
Dieser Artikel von Dipl.-Ing. Peter Teuber und Prof. Dr.-Ing. Dieter Wolff ist zuerst erschienen in Gebäude Energieberater 03/2018.
