Geringe Heizlasten: Die Bedeutung der ehrlichen Ventilautorität
Aus den Kennlinien eines Ventils lässt sich ablesen, welche Voreinstellung gewählt werden muss, um beim ermittelten kV,A den gewählten X p -Wert zu erreichen. Auch der kVR,A -Wert kann dem Diagramm entnommen werden. Er ergibt sich aus dem Schnittpunkt zwischen dem gewählten XpA-Wert und der Einstellung mit vollständig geöffnetem Ventil.
Für den hydraulischen Abgleich von Zweirohrheizungen wurde in den ersten drei Teilen der Beitragsreihe der Berechnungsgang von der Ermittlung der Volumenströme bis zu den Einstellungen der Pumpen und Ventile beschrieben. Das Verfahren entstand im Lauf des Optimus-Projekts an der Ostfalia Hochschule.
Der letzte Teil geht nun auf die Ventilauswahl vor dem Hintergrund sinkender Heizlasten in neuen oder energetisch sanierten Gebäuden ein. Mithilfe von Beispielen werden regelungstechnische Probleme erläutert, die sich aus den geringen Heizlasten ergeben.
Die Hauptproblematik der Ventilauslegung im Neubau und im sanierten Bestandsgebäude hat ihre Ursachen darin, dass aufgrund der geringen Heizlasten nur noch niedrige Volumenströme benötigt werden. Selbst bei geringen Auslegungsspreizungen von 10 K sind Volumenströme von weniger als 15 bis 20 l/h keine Seltenheit.
Für diese Volumenströme würde man Ventile mit einem kVS-Wert von ca. 0,1 m3/h benötigen. Solche Ventile werden jedoch von den Herstellern nicht angeboten, im Gegenteil: Unverständlicherweise werden immer mehr Feineinstellventile mit relativ kleinen kVS-Werten vom Markt genommen, obwohl sie benötigt werden.
Weil dadurch hohe Voreinstellungen erforderlich sind, kommt es zu sehr niedrigen „ehrlichen Ventilautoritäten“ und schlechtem Regelverhalten. Das gilt sowohl für herkömmliche voreinstellbare Ventile als auch für Ventile mit automatischer Durchflussbegrenzung.
Berechnung der „ehrlichen Ventilautorität“
Auch wenn sich die Ventile auf einen geeigneten Volumenstrom innerhalb eines akzeptablen XP-Bereiches auslegen lassen, können sehr starke Voreinstellungen bei zu niedrigen Ventilautoritäten ein schlechtes Regelverhalten hervorrufen. Diese Feststellung stützt sich auf folgenden Sachverhalt (s. auch heiztechnisches Konzept Kronsberg):
Der Gesamtwiderstand eines Ventils mit Voreinstellung setzt sich aus dem festen Voreinstellungswiderstand (CVE), dem meist geringen Gehäusewiderstand (CG) und dem Regelwiderstand im eigentlichen Ventilkegelquerschnitt (CR) zusammen.
Die Widerstände sind in Reihe geschaltet: CVentil = CVE + CG + CR
Der Voreinstellungswiderstand nach einer einmaligen Einstellung ist genauso konstant zu betrachten wie der Gehäusewiderstand. Des Weiteren darf der Druckverlust, der durch die Voreinstellung hervorgerufen wird, nicht als Druckverlust des Ventils betrachtet werden, sondern muss zum Netzwiderstand addiert werden.
Die Voreinstellung arbeitet so gesehen wie eine Drossel und ist damit vergleichbar mit einer gedrosselten Rücklaufverschraubung. Für den Gehäusewiderstand gilt dies ebenfalls.
Als Druckverlust des Ventils bei voller Öffnung (pV,100) bleibt demnach nur der Druckverlust über dem Regelwiderstand im eigentlichen Ventilkegelquerschnitt. Somit ergibt sich die erweiterte Gleichung für die „ehrliche Ventilautorität“:
mit
ΔpV,R100: Druckverlust über dem Regelwiderstand CR
ΔpV,ges,100: Druckverlust über dem gesamten Ventil aus dem Gesamtwiderstand CVentil = CVE + CG + CR
ΔpNetz: Netzdruckverlust (ohne Thermostatventil)
Beispielrechnung
Um den Druckverlust über dem tatsächlich ausschlaggebenden Regelwiderstand ermitteln zu können, wird das Auslegungsdiagramm des Ventils herangezogen (Abb. 1). Der Vergleich der Kurve für ein Ventil mit Voreinstellung 6 (voll geöffnet) mit den anderen Kurven zeigt den Einfluss der Voreinstellung.
Das folgende Beispiel mit zu geringer Ventilautorität bei sehr hohen Voreinstellungen verdeutlicht, wie sich die Drosselung auf die „ehrliche Ventilautorität“ auswirkt.
Angenommene Werte eines fiktiven Netzes:
Gewünschter av-Wert: 0,5
ΔpNetz = 6925 Pa
VA = 0,02 m3/h
XP = 1 K
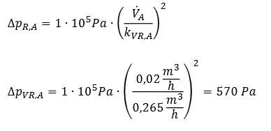
Der erste Schritt zur Berechnung der „ehrlichen Ventilautorität“ besteht darin, mit der gewählten Ventilautorität den Druckverlust über dem gesamten Ventil zu berechnen:
Zur Berechnung der Voreinstellung wird der kV,A-Wert (Auslegungs-kV-Wert) benötigt
In der Kennlinie des gewählten Ventils wird der Schnittpunkt zwischen dem ermittelten kV,A-Wert und dem gewählten XpA-Wert bestimmt, um die Voreinstellung abzulesen. Im Beispiel ergibt sich ein Voreinstellwert von 2.
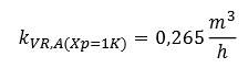
Auch der entsprechende kVR,A-Wert wird dem Diagramm entnommen. Damit lässt sich der „wahre Druckverlust“ des Ventils (Druckverlust über dem Regelwiderstand) berechnen. Der kV-Wert der nicht voreingestellten Kennlinie bei einem XP-Wert von 1 K beträgt nach Abb. 1:
Damit beträgt der Druckverlust über dem Regelkegel nur
Die „ehrliche Ventilautorität“ wird mit folgenden Einzeldruckverlusten bestimmt:
ΔpNetz = 6925 Pa
ΔpV,100 = 6925 Pa
ΔpVR,A = 570 Pa
Sie beträgt
und ist damit viel zu gering für eine gute Regelbarkeit. Eine Verbesserung würde sich nur einstellen, wenn die Hersteller Ventile mit sehr kleinen kVS-Werten ( 0,1 m3/h) anbieten würden.
Ventile mit automatischer Durchflussbegrenzung
Sind Thermostatventile mit automatischer Durchflussbegrenzung die optimale Lösung und eine bisher nicht genutzte Chance?
In den Herstellerunterlagen der neuen Ventile mit automatischer Durchflussbegrenzung sucht man vergeblich nach Kennwerten, die Rückschlüsse auf das Regelverhalten und die Einsatzgrenzen dieser Ventiltypen zulassen. Zu finden ist hier weder der kVS-Wert noch der Kennlinienverlauf.
Deshalb wurden Ventile verschiedener Hersteller auf dem Thermostatventilprüfstand der Ostfalia Hochschule in Wolfenbüttel vermessen.
Volumenstromregelung
Die Druckregulierung funktioniert bei allen derzeit auf dem Markt befindlichen Modellen in begrenztem Umfang, wobei durchaus Unterschiede in der Qualität der Volumenstromhaltung bei den verschiedenen Fabrikaten zu verzeichnen sind.
Bei den Messungen traten Probleme beim Einhalten der in den Unterlagen angegebenen Volumenströme speziell im stark gedrosselten Bereich auf, d.h. bei kleinen Auslegungsvolumenströmen.
Dies ist aber ausgerechnet der Arbeitsbereich, in dem sich die Heizkörper-Auslegungsvolumenströme befinden, die im Neubau und nach Sanierungen der Gebäudehülle einzustellen sind. Die heute üblichen Auslegungsvolumenströme liegen in einem Bereich bis 60 l/h, in dem die angegebenen Volumenströme bis zu 50 % unterschritten werden.
Regelgüte der Ventile
In den vergangenen zehn Jahren ging die Tendenz zu Ventilen mit größeren kVS-Werten. Die Chance, kleinere Ventile anzubieten, wurde auch bei den Ventilen mit automatischer Durchflussbegrenzung nicht genutzt. Im Grunde sind sie nicht besser als die „klassischen“ voreinstellbaren Ventile, wie der Vergleich der Ventilkennlinien in Abb. 1 und 2 zeigt.
Damit ein funktionierendes Heizsystem gewährleistet werden kann, ergeben sich an den Heizkörpern aufgrund der Vorgaben der EnEV Volumenströme von 20 bis 60 l/h, die das Thermostatventil regeln muss. Dieser Aufgabe ist keines der am Markt befindlichen Thermostatventile in ausreichendem Maße gewachsen.
Was passiert bei einer Auslegungsraumtemperatur von beispielsweise 20°C? Anhand der gemessenen Kennlinien wird das Regelverhalten eines Thermostatventils nachvollziehbar, das einer nicht geregelten Wärmezufuhr in einem Raum ausgesetzt wird: Die Raumtemperatur erhöht sich abhängig von der eingestellten Drosselkurve auf bis zu 22,5°C bevor das Thermostatventil beginnt, merklich zu schließen.
Der Schließpunkt ist dann bereits bei 23°C erreicht. Hier kann man nicht mehr von einem „stetigen Regelverhalten“ sprechen, hier liegt eine einfache Zweipunktregelung vor nach dem Motto „alles oder nichts“. Je geringer der zu regelnde Volumenstrom ist, desto ausgeprägter ist dieses Regelverhalten.
Bei Gesprächen mit Thermostatventilherstellern wurde deutlich, dass die Ventile nicht nur für die Regulierung des Heizkörpervolumenstroms konzipiert wurden, sondern auch für weitere Aufgaben wie z.B. den Einsatz in Kühldecken oder Fancoils.
Dort treten aufgrund der geringen Wärmeträger-Temperaturspreizungen hohe Volumenströme und ggf. auch hohe Differenzdrücke auf, die von den Ventilen mit einer guten Regelgüte bewältigt werden müssen und können.
Doch leider treffen diese Voraussetzungen bei der Raumheizung nicht zu, was zu den beschriebenen Effekten führt. Daher gibt es vonseiten der Autoren einen deutlichen Hinweis an die Ventilhersteller zu einer „Aufgabentrennung“ bei den Ventilen.
Für Heizkörper-Thermostatventile muss der kVS-Wert wieder deutlich gesenkt werden, um ein komfortables Regelverhalten zu gewährleisten. Das lässt sich aber nur verwirklichen, wenn die Ventilkonstruktionen den Einsatzbereichen angepasst und damit die Einsatzgebiete getrennt werden.
Der Königsweg für kleine Durchflüsse
Für Heizungsanlagen mit geringem Durchfluss sind nicht voreinstellbare Thermostatventile mit wechselbaren Ventilkegeln für kleinste kVS-Werte eine empfehlenswerte Lösung. Denn weder die heute am Markt angebotenen Feinsteinstellventile noch die neuen Thermostatventile mit automatischer Durchflussbegrenzung erfüllen die Anforderungen an eine ausreichende Regelqualität. Claus Ihle und Franz Prechtl behandeln diese Problematik detailliert im Fachbuch „Die Pumpenwarmwasserheizung“ [1].
Eine lineare Grundkennlinie im Bereich XP = 1…2 K haben derzeit nur Thermostatventile, die nicht voreinstellbar sind, z.B. Modelle mit austauschbaren Kegeleinsätzen. Die Zahl der erforderlichen Varianten ist dabei überschaubar. Werden bei einer angenommenen Druckdifferenz über dem Ventil von 10.000 Pa mit kV,A-max und kV,A-min aus Abb. 3 die Werte Vmax und Vmin ermittelt, so zeigt sich, dass mit nur zwei Ventileinsätzen der Volumenstrombereich zwischen ca. 15 l/h bis etwa 75 l/h abgedeckt werden kann:
Die meisten Anwendungen in Gebäuden mit hohem Wärmeschutzstandard liegen in diesem Bereich. Dadurch vereinfacht sich die Ventilauswahl für Gebäude mit geringen Raumheizlasten bzw. Volumenströmen drastisch. Als Vorteile ergeben sich
- bestmögliches Regelverhalten bei kleinen Volumenströmen
- Begrenzung des maximalen kVS-Wertes entsprechend einem XP von etwa 3 K
Fazit
- Die im Moment zur Verfügung stehenden voreinstellbaren Thermostatventile haben für sanierte Gebäude oder Neubauten viel zu große kVS-Werte. Ein schlechtes Regelverhalten ist die Folge. Dies gilt sowohl für herkömmliche voreinstellbare Ventile als auch für die neuen Ventile mit automatischer Durchflussbegrenzung
- Für kleine Heizlasten werden Thermostatventile mit kleineren kVS-Werten benötigt (kVS < 0,15 m3/h)
- Um zu kleine Auslegungsvolumenströme zu verhindern, sollte bei Gebäuden mit kleinen Heizlasten eine kleine Auslegungsspreizung (10 K) bei der Heizkörperauslegung gewählt werden
- Der Einsatz von Ventilen mit wechselbaren Ventileinsätzen ist zu empfehlen. Leider sind diese Ventile am Markt nicht oder nur noch eingeschränkt verfügbar.
[1] Ihle/Prechtl: Die Pumpenwarmwasserheizung – Bd. 2, Teil B, S 109 ff
Dieser Artikel von Peter Teuber und Dieter Wolff ist zuerst erschienen in Gebäude Energie Berater GEB Ausgabe: 04-2018.
