Diese Grundlagen der Rohrnetzberechnung sollten Sie kennen

Wird ein neues Rohrnetz ausgelegt, erfolgt die Dimensionierung in der Regel auf Grundlage eines angenommenen mittleren Druckgefälles Rm (längenbezogener Druckabfall in Pa/m). Die Auslegung der Rohrdurchmesser beeinflusst auch die Wirtschaftlichkeit:
- Ein hohes Druckgefälle führt zu kleinen Rohrdurchmessern und niedrigen Investitionskosten, aber dafür höheren Stromkosten für die Umwälzpumpen
- Ein geringes Druckgefälle führt zu großen Rohrdurchmessern und höheren Investitionskosten, aber dafür niedrigeren Betriebskosten.
Bis etwa 1980 wurden die Anlagen in der Regel auf ein mittleres Druckgefälle von 100 Pa/m dimensioniert. Gebäude aus diesen Baujahren hatten gewöhnlich Heizlasten von ca. 100 W/m2. Bei neuen oder sanierten Gebäuden müssten sich aufgrund der viel geringeren Heizlasten von etwa 10 bis 30 W/m2 sehr viel geringere Durchmesser ergeben.
Vergleicht man jedoch Rohrdurchmesser von Bestandsanlagen mit jenen in Neuanlagen, ist zumindest im kleineren Leistungsbereich keine wesentliche Reduzierung der Rohrdurchmesser zu erkennen.
Da zwischen Druckverlust und Volumenstrom bei turbulenter Strömung in einem Rohrnetz ein annähernd quadratischer Zusammenhang besteht, werden Druckverluste in neuen Netzen sehr gering, sodass sie gegenüber Verlusten durch andere hydraulische Komponenten (Regelventile, Thermostatventile, Filter, Wärmemengenzähler) in vielen Fällen vernachlässigt werden können.
Wie groß bzw. wie klein die Druckverluste in den Rohrleitungen tatsächlich sind, zeigt das Ablesebeispiel in Abb. 1.
Im energetisch sanierten Einfamilienhaus liegen typische Heizlasten zwischen 3 und 6 kW. Nur in Ausnahmefällen erreichen die Heizkörpervolumenströme mehr als 80 l/h. Daraus ergibt sich bei den in Bestandsnetzen üblichen Rohrdurchmessern ein mittleres Druckgefälle zwischen 20 und 50 Pa/m.
Die Länge des Strangs von der Heizkreispumpe bis zum entferntesten Heizkörper beträgt in Einfamilienhäusern normalerweise nicht mehr als 40 m, sodass ein Druckverlust in den Rohrleitungen zwischen 800 und 2.000 Pa resultiert.
Druckverluste durch Einzelwiderstände
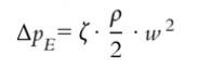
Einzelwiderstände wie Heizkessel, Heizkörper, Rohrbögen und -verzweigungen verursachen durch Veränderung der Strömung einen zusätzlichen Druckverlust. Er errechnet sich zu
mit
- ΔpE: Druckverlust aus Einzelwiderständen
- ζ: Zeta-Wert, Druckverlustzahl
- ω: Geschwindigkeit
- ρ: Dichte des Wassers
Weil die Druckverlustzahl im Allgemeinen nur experimentell ermittelt werden kann, sind in der Literatur für den gleichen Einzelwiderstand unterschiedliche -Werte zu finden.
Die Druckverluste durch Einzelwiderstände verhalten sich wie in den Rohrleitungen annähernd quadratisch zu den Geschwindigkeiten bzw. Volumenströmen. Bei üblichen Installationen im Ein- und Zweifamilienhaus übersteigen die Druckverluste aus den Einzelwiderständen nur selten die Druckverluste der Rohrleitungen.
Für Überschlagsberechnungen kann zur Berücksichtigung der Einzelwiderstände ein Zuschlag von rund 50 % auf den Druckverlust in den geraden Rohrleitungen aufgeschlagen werden. Damit ergeben sich aus Rohrleitungen und Einzelwiderständen in Kleinanlagen Gesamtdruckverluste in der Größenordnung zwischen 1.200 und 3.000 Pa. Sie sind demnach so gering, dass sie in vielen Anlagen bei der Berechnung bzw. Abschätzung vernachlässigt werden können.
Thermostatventile
Thermostatventile sind seit der 1. Heizungsanlagenverordnung von 1978 verpflichtender Bestandteil von Heizsystemen. Neben der ebenfalls vorgeschriebenen zentralen Regelung erfüllen sie als Einzelraumregler primär die Aufgabe, auf Raumtemperaturabweichungen durch solare und innere Wärmegewinne zu reagieren. Damit die Thermostatventile dieser Aufgabe gerecht werden können, ist eine planmäßige Auslegung der Ventilautorität unverzichtbar.
Ventilautorität
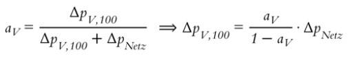
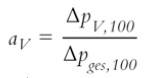
Die Ventilautorität (av) spiegelt die Regelqualität wider. Das Verhältnis des Druckverlustes über dem Regelwiderstand des Ventilkegels (pV,100) zum Druckverlust des volumenstromvariablen Stromkreises, in dem sich durch Eingriff des Regelventils der Volumenstrom ändert (pNetz + pV,100), ergibt den Wert der Ventilautorität.
Für ein ausreichend lineares Regelverhalten sollte die Ventilautorität von Thermostatventilen mindestens 0,3 betragen. Sie berechnet sich wie folgt:
mit
- Δpges,100 = pNetz + pV,100
- ΔpV,100: Druckverlust des Ventils bei Öffnung im Auslegungsfall
- ΔpNetz: Druckverlust des Netzes
- Δpges,100: gesamter Druckverlust des Stromkreises bzw. Strangkreises
Proportionalbereich
Der gesamte Stellbereich eines Ventils, d. h. die maximale Hubänderung, die durch Temperaturänderungen bewirkt werden kann, wird Proportionalbereich genannt.
Bei älteren Thermostatventilen bis etwa Mitte der 1980er-Jahre lag der maximal mögliche Arbeits-P-Bereich im Allgemeinen bei 6 K, bei heutigen Ventilen sind es meist zwischen 3 und 4 K.
Weil das Thermostatventil im Auslegungsfall nur zum Teil geöffnet ist, muss bei der Dimensionierung ein Auslegungs-P-Bereich Xp,A gewählt werden, der geringer als der maximal mögliche P-Bereich ist. Der Xp,A-Wert gibt an, um welchen Betrag die Raumlufttemperatur steigen muss, damit das Ventil den gesamten Auslegungs-Hub überwindet.
Ist beispielsweise eine Soll-Raumtemperatur von 20 °C eingestellt, beginnt es beim Erreichen dieser Temperatur zu schließen. Ein Thermostatventil mit einem Auslegungs-P-Bereich von 2 K wäre dann erst bei einer Raumtemperatur von 22 °C komplett geschlossen. Für die Auslegung von Thermostatventilen wird ein Bereich von Xp,A = 1 bis 2 K angestrebt. Je kleiner dieser Wert ist, desto empfindlicher reagiert das Ventil auf Störgrößen. Ein zu kleiner Auslegungs-P-Bereich kann zu Zweipunktverhalten des Ventils mit verminderter Regelqualität führen.
1 Bei einer angenommenen Altanlage mit einer Leistung von 8 kW ergibt sich für die Kesselanschlussleitungen bei einer Temperaturspreizung von 15 K und einem Rohrdurchmesser von 22 × 1 mm ein Druckgefälle von 115 Pa/m. Die Sanierung der Gebäudehülle senkt in diesem Beispiel die Heizlast auf 4 kW. Durch den quadratischen Zusammenhang zwischen Massenstrom und Druckverlust sinkt das Druckgefälle auf rund 30 Pa/m.
Durchflusskennwert kV
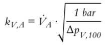
Der Durchflusskennwert eines Ventils, der vom Hersteller gemessen und als kV-Wert angegeben wird, ergibt sich durch ein festgelegtes Wertepaar. Es handelt sich um den Volumenstrom in m3/h, der eine Druckdifferenz von 1 bar über der Armatur erzeugt. Für jede beliebige Ventileinstellung kann ein kV-Wert ermittelt werden. Deshalb unterscheidet man bei der Auslegung von Thermostatventilen zwischen folgenden Definitionen:
- kV,100: kV-Wert für das voll geöffnete Ventil
- kVS: statistischer Mittelwert des kV,100-Wertes einer Armaturenserie
- kV,A: kV-Wert für die Auslegung
- kV,xp 1K: kV-Wert bei einem Auslegungsproportionalbereich von 1 K
- kV,xp 2K: kV-Wert bei einem Auslegungsproportionalbereich von 2 K
- Der kV-Wert für die Auslegung (kV,A) wird mit der erwünschten Ventilautorität (und dem daraus resultierenden Druckverlust) sowie dem Auslegungsvolumenstrom ermittelt.
Beispiel: Bestimmung des kV,A-Werts
Gegeben sind VA, av und pNetz, gesucht sind pV,100 und kV,A. Aus der Ventilautorität folgt der erforderliche Druckverlust über dem Ventil:
Mit diesem Druckverlust und dem bekannten Volumenstrom lässt sich der erforderliche kV,A-Wert bestimmen:
Anschließend wird das Ventil ausgewählt. Aus den Kennlinien des Ventils kann dann für die Voreinstellung der Auslegungs-P-Bereich Xp,A abgelesen werden.
Ventile mit automatischer Volumenstrombegrenzung
Thermostatventile mit automatischer Durchflussbegrenzung (z. B. Danfoss Dynamic Valve, Heimeier eclipse, Oventrop QV) bestehen aus einem in Reihe geschalteten differenzdruckgeregelten Volumenstromregler und einem thermostatischen Temperaturregelventil.
Diese Kombination bewirkt einen weitgehend druckunabhängigen Durchfluss durch das Ventil, solange eine Mindestdruckdifferenz (typisch sind 100 bis 150 mbar) eingehalten wird.
Der Differenzdruck über dem Temperaturregler wird nahezu konstant gehalten. Aus dieser Konstruktion ergeben sich mehrere Vorteile:
- Jedem Voreinstellwert lässt sich druckunabhängig ein Volumenstrom zuordnen
- Die Ventile arbeiten auch bei höheren Differenzdrücken geräuschfrei
- Auf Strangdifferenzdruckregler kann verzichtet werden
Ein unnötig hoher Pumpendruck soll natürlich auch bei diesen Thermostatventilen vermieden werden, da er einen erhöhten Stromverbrauch zur Folge hätte.
Bei verzweigten Rohrnetzen im Bestand sind die Druckverluste oft nur schwer zu ermitteln. Um dennoch zu energiesparendem Betrieb zu gelangen, bieten einige Ventilhersteller die Möglichkeit, den anstehenden Differenzdruck am Ventil zu messen und damit die Pumpe anzupassen.
Folgende Vorgehensweise wird beim Einstellen der Ventile empfohlen:
- Dem berechneten Auslegungsvolumenstrom direkt einen Voreinstellwert zuordnen
- Schlechtpunkte bestimmen, d. h. die hydraulisch ungünstigsten Heizflächen, deren Fließwege die höchsten Druckverluste verursachen
- Alle Verbraucher öffnen, den Differenzdruck an den Schlechtpunkten (den am weitesten entfernten Thermostatventilen) messen
- Pumpenförderhöhe reduzieren, bis nur noch der notwendige Mindestdifferenzdruck von 100 bis 150 mbar an den Schlechtpunkten ansteht
Bei verzweigten größeren Rohrnetzen können Ventile mit automatischer Volumenstrombegrenzung den hydraulischen Abgleich vereinfachen. In der Werbung wird häufig behauptet, durch den Einsatz von Thermostatventilen mit automatischer Durchflussbegrenzung werde ein automatischer hydraulischer Abgleich erreicht. Dies ist jedoch falsch. Die Volumenströme müssen wie bei herkömmlichen Ventilen immer in Abhängigkeit von der Heizlast und den installierten Heizflächen berechnet werden.
Im Ein- und Zweifamilienhaus mit differenzdruckgeregelter Pumpe kann der hydraulische Abgleich in gleicher Qualität auch mit herkömmlichen Thermostatventilen durchgeführt werden.
Dieser Beitrag von Peter Teuber und Dieter Wolff ist zuerst erschienen in GEB 02/2018.
