Wie funktioniert eigentlich ein Heizkörper?

Im einfachsten Fall lässt man eine gebrauchte Konservendose mit heißem Wasser durchströmen und schon gibt diese Büchse Wärmeenergie ab. So einfach ist das.
Obwohl: Wie viele Dosen bräuchte man zur Beheizung eines kleinen Kinderzimmers und wie viele für ein großes Wohnzimmer? Wie verändert sich die Wärmeabgabe, wenn man brühend heißes Wasser durch die Dose jagt oder nur einen lauwarmen Fluss? Spielt die Geschwindigkeit der Durchströmung etwa auch noch eine Rolle? Und wenn ja, was versteht man dann unter langsam, was unter schnell? Gibt es Tricks zum Thema „Wie tune ich meine Heizdose?“ Fragen über Fragen, die wir hier beantworten.
Drei Arten von Wärmeübertragung
Wir können drei Arten von Wärmeübertragung unterscheiden, nämlich: Wärmeleitung, Strahlung und Konvektion.
Im einfachen Fall liegt eine Wärmeflasche auf unserem Bauch und erwärmt uns im direkten Kontakt mittels Wärmeleitung. Wärmeleitung ist aber nichts, was wir ausdrücklich von einem Heizkörper erwarten. Er soll uns doch auch erwärmen, wenn wir uns nicht gerade an ihn anlehnen.
Ein weiterer nachvollziehbarer Wärmetransport ist spürbar, wenn uns Sonnenstrahlen erreichen. Je nach Intensität erwärmt uns die Sonne oder ein Heizstrahler auch, ohne dass wir auf Tuchfühlung mit der heißen Oberfläche gehen. Die Strahlung kann dabei auch locker mal 149.600.000 Kilometer hinter sich bringen, wie bei der Entfernung Erde/Sonne und dabei immer noch mit über 1.000 Watt je Quadratmeter aufschlagen. Strahlen kann ein Heizkörper auch.
Gerade in der dunklen Jahreszeit kann man über einer Kerze die aufsteigende, warme Luft beobachten. Das bezeichnet man als Konvektion und wird ebenso von einem Heizkörper verlangt und erfüllt. Ein Heizkörper beschränkt sich in seiner Heizleistung also im Wesentlichen auf Strahlung und Konvektion. Die zumeist große Fläche eines Heizkörpers kann Strahlungswärme an den Raum abgeben und wird bei einem Auftreffen auf einen Gegenstand oder eben einen Menschen diesen erwärmen.
Ist ein Heizkörper klassisch zweilagig gefertigt, so ergibt sich zwischen den beiden vom Heizwasser durchströmten Platten eine Erwärmung von Luftteilchen. Diese Luftteilchen dehnen sich durch Erwärmung aus und verlieren an Dichte. Kalte, schwere Luft drückt diese Teilchen dann hoch und führt zur Konvektion. Der Vorgang der Konvektion kann bei günstiger Anordnung des Heizkörpers zu einer Umwälzung der Luft im Aufstellraum führen und auf diese Weise den gesamten Raum erwärmen.
Ein Heizkörper strahlt uns also an und sorgt für Konvektion, indem er Luft durch Erwärmung umwälzt. Das schafft eine heiß durchströmte Dose vielleicht auch noch.
Bedingungen für Heizkörper
Ein Heizkörper kann unterschiedlichen Bedingungen unterworfen werden. Getestet wurde er jedoch bei einer Vorlauftemperatur von 75 °C und einer Rücklauftemperatur von 65 °C. Das reicht allerdings als Festlegung für eine allgemeine Testbedingung nicht ganz aus. Würde man diesen Heizkörper nämlich beispielsweise in einer Sauna mit 95 °C Raumtemperatur testen, so würde man feststellen, dass der Heizkörper mit seinen 75 °C eher eine kühlende Wirkung hat.
Sie verstehen natürlich sofort an diesem Beispiel, dass die Raumtemperatur bei den Testbedingungen wichtig erscheint. Diese ist bei 20 °C festgelegt. Normbedingungen für einen Heizkörper sind also 75/65/20 für Vorlauf/Rücklauf/Raum.
Wer auch immer diese Testtemperatur festgelegt hat, hat auch gleichzeitig eine Formel zur Umrechnung der Leistung für andere Betriebsbedingungen gestiftet. Die Wunderformel lautet:
Wobei die Symbole Folgendes bedeuten:
- Φ = Wärmeleistung des Heizkörpers bei Betriebsbedingungen in Watt
- ΦNorm = Norm-Wärmeleistung des Heizkörpers in Watt
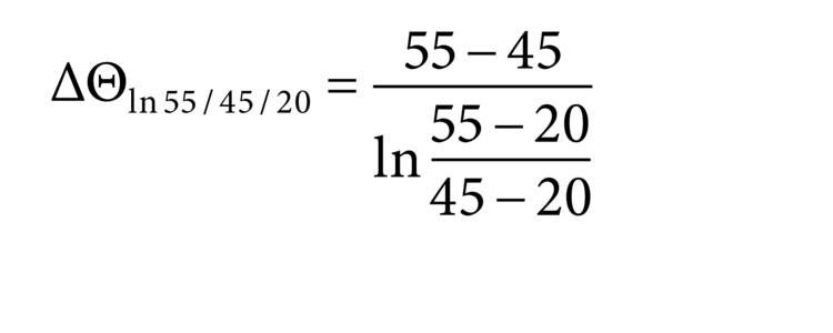
- ΔΘln = logarithmisch gemittelte Übertemperatur in Kelvin
Und diese logarithmisch gemittelte Übertemperatur ist auch kein Hexenwerk. Bei der Eingabe kann man sich zwar schon mal verhauen, aber dafür kann man ja überschlägig berechnen oder die Logik bemühen.
Was Folgendes bedeutet:
- ΘV/R/L = Celsiustemperatur des Vorlaufs/Rücklaufs/zu beheizenden Raums
- n = der Exponent der Heizkörperkennlinie ohne Einheit
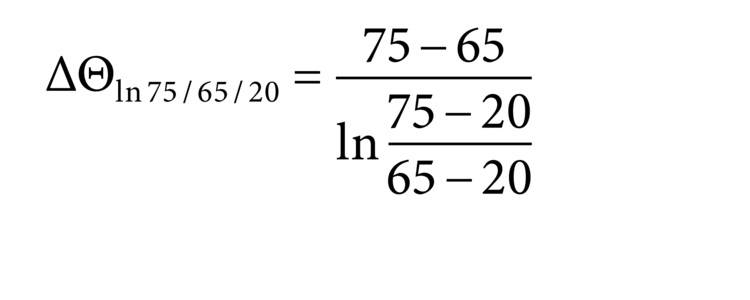
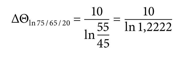
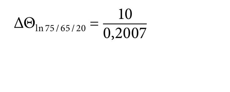
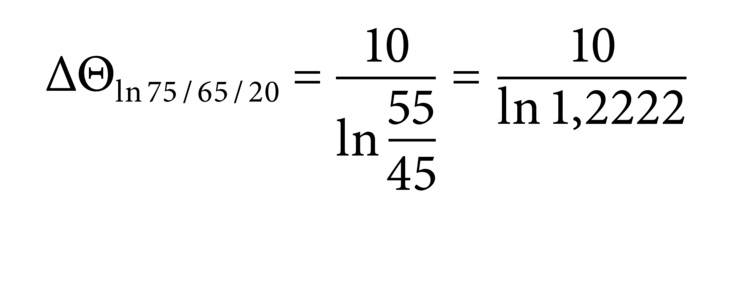
- Zuerst soll der Wert ΔΘln für die Normbedingungen, also 75/65/20, ermittelt werden.
Dieses Ergebnis erklärt den Wert 49,83 innerhalb der Wunderformel. Eine weitere Anwendung zeigt, was man beispielsweise berechnen kann.
Konkretes Beispiel:
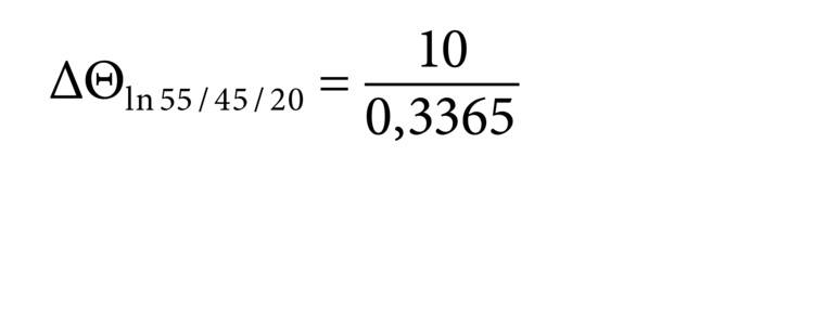
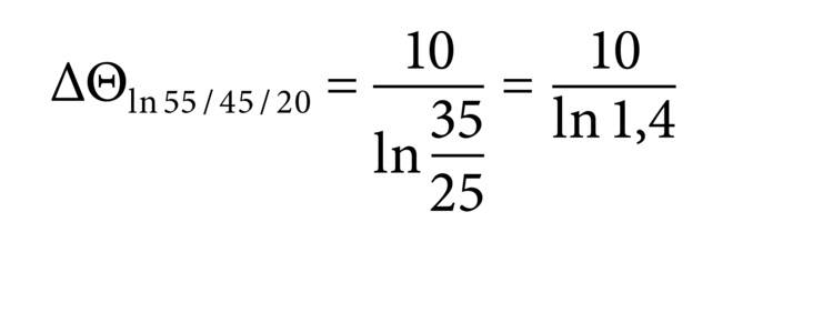
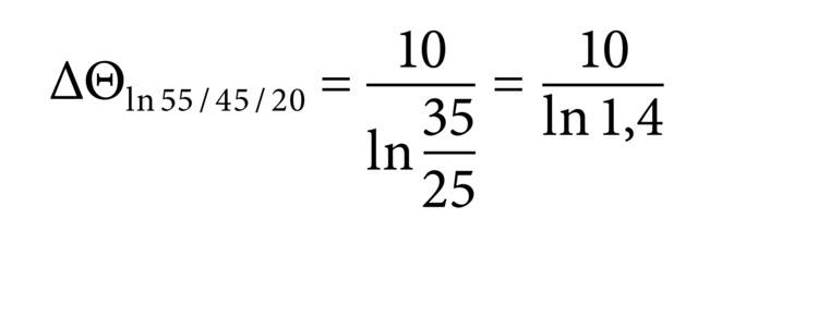
In einem Bestandsgebäude soll eine Anpassung der Vorlauftemperatur erfolgen. In einem Raum ist ein Heizkörper installiert, der unter Normbedingungen 1.000 Watt abgibt. Die Leistung des Heizkörpers soll bei einer Vor- zu Rücklauftemperatur von 55 zu 45 °C berechnet werden. Als Raumtemperatur soll 20 °C angenommen werden.
Dieser Heizkörper wird laut der angegebenen Formel eine mittlere Übertemperatur von 29,72 K aufweisen. Überprüft man diesen Wert ganz einfach überschlägig, kann dies bestätigt werden:
Man setzt diesen Wert jetzt in die endgültige Formel ein. Dabei ist noch wichtig, mit welchem Exponenten gearbeitet werden soll. Für diesen Heizkörper nehmen wir einen Exponenten von 1,3 an. Dann entwickelt sich die Formel zu:
Hier liest man eigentlich ab: Ein Heizkörper mit diesem Exponenten von 1,3 hat, wenn man diesen anstatt unter Normbedingungen bei 55/45/20 betreibt, nur noch 51,1 Prozent seiner Wärmeleistung, also nur noch 551 W.
Was kann man noch erwarten?
Lässt man sich die soeben rechnerisch nachgewiesene, geringere Leistung bei 55/45/20 durch den Kopf gehen, so bestätigt die Logik den berechneten Wert. Unter Normbedingungen wäre das Wasser im Vorlauf heißer eingeströmt (75 statt 55 °C) und sogar auch heißer aus dem Rücklauf ausgeströmt (65 statt 45). Klar ist der Heizkörper dann leistungsfähiger. Und in beiden Fällen hätte er ja gegen eine Raumtemperatur von 20 °C angeheizt. Aber wie sieht es mit der Durchströmung des Heizkörpers aus?
In einem weiteren Gedankenexperiment stellen wir zwei Heizkörper mit genau 10 Litern Volumeninhalt in einem eiskalten Raum auf und schicken Heizwasser mit 55 °C durch beide Heizkörper.
Beide Heizkörper werden also von identischer Vorlauftemperatur durchströmt. Der eine allerdings im Lowflow-Betrieb. Das Wasser plätschert langsam hindurch und schiebt sich gemächlich in Richtung des Rücklaufs. Es dauert eine ganze Stunde, bis das gesamte Wasser des Heizkörpers ausgetauscht ist. Das macht einen Massenstrom von 10 Kilogramm pro Stunde (kg/h) und entspricht einem Eimer Wasser, den man innerhalb einer Stunde entleert.
Der andere Heizkörper wird mit Highflow verwöhnt. Das Wasser rast nur so durch und wird innerhalb einer Stunde gleich 20-mal getauscht. Ein Massenstrom von 200 kg/h, also 20 Eimern mit heißem Wasser, hält den Heizkörper ungleich besser auf Trab als seinen Lowflow-Bro. Entscheidend ist aber bei diesem Experiment, dass man feststellt, welcher der beiden ansonsten identischen Heizkörper insgesamt wärmer und damit leistungsfähiger ist. Doch wohl eindeutig der Highflow-Kandidat. Der schnelle Austausch sorgt für eine hohe Rücklauftemperatur, während der langsam plätschernde Bach für eine extreme Abkühlung sorgt.
Würde man diesen Zustand mit der eben skizzierten Formel nachrechnen, ließe sich das ausrechnen für einen Heizkörper bei 55/15/10 (Lowflow) und 55/50/10 (Highflow).
Mit kleinen aufgeschweißten Blechen kann man der Konvektion noch Beine machen. Das Tuning erfolgt also durch Erhöhung der Wärmeübertragungsflächen. Man könnte meinen, es sind die Spoiler dieser trägen Stahl-Boliden. Tuningtipps erfassen aber auch noch den Bereich der Oberflächengestaltung. Ein verchromter Heizkörper hat ungünstigere Strahlungsbedingungen für eine hohe Wärmeabgabe als ein mattschwarzer Heizkörper. Der Kompromiss mit der weißen Einfärbung von Standardheizkörpern ist wohl der Optik geschuldet. Denn wer möchte schon einen schwarzen Heizkörper unter dem Küchenfenster?
Fasst man sämtliche Eigenschaften eines Heizkörpers zusammen, so erkennt man schnell, warum eine ausrangierte Dose nicht infrage kommt. Es sollte schon ein wenig angepasster und anpassbarer sein. Außerdem würde Korrosion der Dose ein frühes Nutzungsende bescheren. Dem Wasserdruck einer Heizungsanlage wäre sie nicht lange gewachsen.
Überschlagsrechnung
55 °C rein und 45 °C raus ergibt in der Mitte 50 °C.
Und 50 °C ist 30 K wärmer als 20 °C Raumtemperatur. 30 K ist annähernd wie 29,72 K.
Plausibilität geprüft, alles klar!
Dieser Beitrag ist zuerst erschienen in SBZ Monteur 06/2021.

