Wie funktioniert eigentlich die Auslegung nach DIN 4708?
Millionen von Anlagen haben auch heute Morgen wieder dafür gesorgt, dass dieses Volk sich warm duschen kann. Einige haben es wohl absichtlich ausgelassen und müffeln sich durch den Tag. Alle anderen sind zumeist dankbar, dass das Duschwasser nicht eiskalt war und dass man nach dem Haarewaschen noch ausreichend Warmwasser bekam, um den Schaum aus den Haaren zu treiben. Menge und Temperatur werden nicht zufällig passend zur Verfügung gestellt. Was es zu beachten gibt und wie man sich diese Vorgänge sehr gut erklären kann, lesen Sie auf den nächsten Seiten.
Voraussetzungen
Kuhistgleichemmalcemaldeltatheta und gilt selbstverständlich auch ohne Ausnahme bei der Warmwasserbereitung. Nehmen wir im ersten Step an Sie betrachten einen Duschvorgang und wenden diese Formel an. Sie duschen sich mit insgesamt 80 Liter warmen Wassers von 45 °C. Überprüft mit der Formel kann man folgende Erkenntnis ziehen:
Q=m•c•Δϑ
dabei ist
Q = Energie in Wattstunden
m = die erwärmte Masse in Kilogramm
c= die spezifische Wärmekapazität (für Wasser mit 1,163 Wh/(kgK))
Δϑ = Temperaturdifferenz in Kelvin
Für das genannte Beispiel ist es ausreichend genau, wenn man 80 Liter (l) Wasser als 80 Kilogramm (kg) Masse ansieht. Und bei einer Erwärmung von Trinkwasser geht man in Deutschland fast immer von einer Starttemperatur von 10 °C aus. Daher soll sich das Duschwasser im Beispiel um 35 K von 10 °C auf 45 °C erwärmen.
Eingesetzt gilt daher:
Q=80 kg•1,163 Wh/(kgK)•35 K
Q=3.256 Wh
Der Energieaufwand für dieses Duschbad beträgt also rund 3.256 Wh. Das entspricht übrigens dem Energiegehalt von rund 0,33 Liter Heizöl oder 0,33 Kubikmeter Erdgas.
Erste Erkenntnisse
Man kann die Physik nicht außer Kraft setzen. Daher kann man klar festhalten, dass man unabhängig vom Aufheizvorgang für dieses Duschwasser immer diese Energiemenge 3256 Wh aufwenden muss. Es stellt sich die Frage nach dem -Wie-.
Ganz trivial kann man schon mal annehmen, dass ein leistungsstarker Kessel weniger Zeit benötigen würde um die 80 Liter aus dem Beispiel zu erwärmen als ein kleiner Tauchsieder. In Zahlen wird dies deutlicher. Ein Kessel mit 100 kW Leistung braucht zur Erwärmung weniger Zeit als ein Tauchsieder mit 1 kW Leistung.
Der 100-kW-Kessel erwärmt das Duschwasser in 2 Minuten während der Tauchsieder fast 200 Minuten benötigt. Eigentlich klar, dass der „dicke“ Kessel mit 100-mal höherer Leistung 100-mal schneller fertig ist.
Dieses erste Gesetz zur Warmwasserbereitung hört sich einfach und logisch an. Davon ableiten kann man aber noch weitere schlaue Erkenntnisse für die Praxis:
Einfamilienhäuser der neueren Generation haben zur reinen Beheizung eine geringe Heizlast. Oft sind 5 kW ausreichend, um moderne Gebäude zu erwärmen. Würde die Heizleistung zur Warmwasserbereitung ebenfalls auf nur 5 kW begrenzt, so wäre der Kessel in dem Beispiel und gerechnet für nur einen Duschvorgang bereits geraume Zeit exklusiv in Betrieb:
Würden drei Personen mit diesen Annahmen nacheinander duschen, so wäre ein 5-kW-Wärmeerzeuger schon fast 2 Stunden beschäftigt nur um das warme Wasser zu erwärmen. Während dieser Zeit könnte das Haus trotz toller Wärmedämmuung bereits empfindlich abkühlen. In der Praxis sollte man diesen Zusammenhang daher unbedingt kennen und berücksichtigen. Ein moderner Gas-Brennwertkessel wird daher nur für den Heizbetrieb auf die in diesem Beispiel genannten 5 kW Heizleistung begrenzt. Die Warmwasserbereitung wird dann gewissermaßen bei Vollgas und vielleicht 20 kW Leistung abgearbeitet.
Damit schnurrt und moduliert ein Kessel sehr effizient vor sich hin bei reinem Heizbetrieb und schaltet nur selten ab. Die Warmwasserbereitung erfolgt gewissermaßen mittels Booster. Daher tritt keine fühlbare Auskühlung des Hauses auf.
Weitere Erkenntnisse
Lief die erste Betrachtung noch darauf hinaus ein winziges Einfamilienhaus zu versorgen, soll der nächste Blick über den Tellerrand die Tipps für ein Mehrfamilienhaus liefern. Natürlich bleibt dabei das erste Gesetz zur Warmwasserbereitung in Kraft.
Sind beispielsweise dreißig Wohnungen in einem Wohnhaus zusammengefasst so kann natürlich auch hierfür eine zentrale Warmwasserbereitung ausgelegt werden.
Die Physik wird nicht neu erfunden aber man benennt diese ein wenig um und nutzt andere Vokabeln. Der Kern des Ansatzes für das Einfamilienhaus bleibt jedoch erhalten: Sag mir wieviel Energie du zur Warmwasserbereitung brauchst und ich sage dir wie du diese bereitstellen kannst. Der Ansatz für diese Auslegung wird gemäß der DIN 4708 Teil 2 geliefert.
Die Grundformel erschließt sich einerseits über die bereits geschilderten Zusammenhänge und zusätzlich durch die folgenden Erläuterungen.
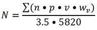
Die Grundformel der DIN 4708 lautet:
N steht also als dimensionslose Zahl, genauer Bedarfskennzahl. Um diese Bedarfskennzahl zu erkennen, schauen wir zuerst auf die beiden Werte unter dem Bruchstrich, also auf 3,5 multipliziert mit 5820.
Mit diesen beiden Zahlen ist eine Einheitswohnung beschrieben. In der leben 3 bis 4 Personen und damit als Mittelwert 3,5 Personen. Diese 3,5 Personen benötigen laut dieser Formel immer die Energiemenge zur Warmwasserbereitung von einer Wannenfüllung je Person. Laut dieser Norm beträgt diese Energiemenge für eine Wannenfüllung
5820 Wh.
Die Bedarfskennzahl 1 steht also für 3,5 · 5820 Wh also letztlich
20.370 Wh.
Man bildet für ein Mehrfamilienhaus letztlich Vielfache dieser Bedarfskennzahl.
Die weiteren Daten zur Bestimmung des Trinkwassererwärmers sind schon fast trivial. Wie viele Wohnungen sind zu versorgen, und welche Anzahl an Personen sind jeder einzelnen Wohnung zuzuordnen. Wird in den Wohnungen tatsächlich jeweils gebadet oder doch nur geduscht? Die Erkenntnis aus dieser Festlegung führt zu dem Zapfstellenbedarf, also der Energiemenge, die gewissermaßen bereitstehen sollte, um eine sichere Versorgung zu gewährleisten.
Da man einen Investor für den Bau eines Mehrfamilienhauses nur schwer diese Fragen stellen kann, gibt die entsprechende Norm, also die DIN 4708 Auskunft oder zumindest Vorschlagswerte. Beispielsweise für die Annahme wie viele Leute in eine geplante Wohnung einziehen werden, gibt es ein paar Schätzwerte, die sich zumindest in der Vergangenheit bewährt haben. Man bezieht einfach die Größe der Wohnung auf eine Anzahl von Personen.
Es gilt:
Der Zapfstellenbedarf mit dem Kürzel wv richtet sich danach ob eine Normalausstattung vorgenommen wird oder ob es sich um eine Komfortausstattung handelt.
Nimmt man eine Normalausstattung an, so wird stumpf die Füllung einer Badewanne als Bedarf angenommen und der Wert von 5820 Wh wird pro Wannenfüllung eingesetzt. Das ist der einfachste Fall.
Etwas ausschweifender wird es bei gehobener Ausstattung. Das folgende Beispiel kommt ohne die gehobene Ausstattung aus und schafft das gleiche Verständnis für die Zusammenhänge.
Beispiel für 30 Wohnungen
In einem Wohnhaus sollen insgesamt 30 Wohneinheiten untergebracht werden. Sämtliche Wohnungen werden sanitärseitig mit Normalausstattung versehen.
Es gibt :
- 6 Wohnungen mit je 3 Räumen (Typ 1)
- 4 Wohnungen mit je 4 Räumen (Typ 2)
- 20 Wohnungen mit je 5 Räumen (Typ 3)
Es gilt die Bedarfskennzahl für den Trinkwassererwärmer zu ermitteln. Für Typ 1 darf laut Tabelle unterstellt werden, dass dort 2,7 Personen einziehen. Für Typ 2 sind es 3,5 Personen und für Typ 3 demnach 4,3 Personen.
Das ergibt einen Energiebedarf von:
- Typ 1 > 6 · 2,7 · 5820 Wh = 94.284 Wh
- Typ 2 > 4 · 3,5 · 5820 Wh = 81.480 Wh
- Typ 3 > 20 · 4,3 · 5820 Wh = 500.520 Wh
Die Summe der Energiebedarfe beträgt:
Umgangssprachlich steht da: Du sollst zur sicheren Warmwasserbereitung 676.284 Wh bereithalten. Teilt man diesen Wert durch den zugeordneten Einheitswert von 20.370 Wh so erhält man die Bedarfskennzahl des Trinkwassererwärmers.
676.284 Wh / 20.370 Wh = 33,2
Der Bedarf entspricht also dem von 33,2 Einheitswohnungen.
Vergleich zu Entwirrung
Bei einem Brunch unter Bodybuildern essen 6 der Gäste jeweils 4 Eier, 13 Gäste essen je 6 Eier und 10 Gäste essen pro Person 9 Eier. Wie viel Dutzend Eier müssen geordert werden?
Ein Dutzend Eier entspricht 12 Eier.
192 / 12 = 16
Es sollten 16 Dutzend Eier besorgt werden.
Such den Speicher
Mit den bisher erarbeiteten Erkenntnissen muss es möglich sein diese Bedarfskennzahl zu erreichen entweder über die hohe Leistung eines Wärmeerzeugers von vielleicht 500 kW oder über einen großen Vorrat an heißem Trinkwasser von vielleicht 5000 Liter. Sie merken schon an der Übertreibung der jeweiligen Anforderungen, dass beide Anforderungen nicht zielführend sind. Ein Kessel mit 500 kW Heizleistung könnte zwar den Warmwasserbedarf immer decken, wäre aber ansonsten gnadenlos überdimensioniert zur Beheizung der dreißig Wohnungen.
Würde man hingegen 5000 Liter an Wasser im Keller bunkern und in den Heizpausen des Wohnhauses aufheizen, so würde kein hygienischer Austausch des Wassers gewährleistet werden können.
Man sucht einen Kompromiss zwischen Speichergröße und Kesselleistung. In der dargestellten Tabelle wird für die Bedarfskennzahl von genau 33,2 kein Speicher angeboten. Punktlandungen wären auch eher zufällig. Man greift in einem solchen Fall zu dem nächsten, höheren Wert. Aus der dargestellten Tabelle zeigt sich der LTN750 mit einer NL-Zahl von 37 als wirtschaftlicher Kandidat.
Speicher gewählt und fertig?
Im Hintergrund steht immer noch die Logik, dass ja auch ein entsprechender Wärmeerzeuger die Leistung zur Nachheizung liefern können sollte ohne, dass das Wohnhaus während der Heizpause dabei empfindlich abkühlt. Vor diesen im Beispiel ausgewählten 750-Liter-Speicher also einen 20 kW Kessel zu montieren wäre logischerweise wenig hilfreich. Über die Heizlast des Gebäudes ist aber auch die Leistung des Wärmeerzeugers bereits ermittelt worden. Im Beispiel sollen diese 30 Wohnungen zusammen mit 70 kW Heizleistung versorgt werden können.
Und ohne einen Zuschlag auf diese 70 kW kann überprüft werden, wie lange dieser Wärmeerzeuger nun benötigen würde, den komplett entladenen Speicher durchzuwärmen.
Bitte beachten Sie bei der folgenden Berechnung: Obwohl bei der Zapfung von 45 °C ausgegangen wird, soll der Speicher auf 60 °C erwärmt werden. Das schafft natürlich größere Reserven für den Zapfvorgang von 45 °C
Daher ergibt sich:
Q=750 kg•1,163 Wh/(kgK)•50 K
Q=43.613Wh
Und aus der Formel für die Zeit ergibt sich:
Das dürfte also unempfindlich sein, wenn das Gebäude im Falle einer kompletten Durchladung des Speichers mal 37 Minuten ohne Beheizung auskommen muss. Alles gut also…

